Application Studies

Geospatial Techniques in Urban Climate Studies: A Comprehensive Overview

  • XU Yong , 1, 2 ,
  • CHEN Shangze 1 ,
  • CAO Yongyin 1 ,
  • HE Yuyang 1
Expand
  • 1. School of Geography and Remote Sensing, Guangzhou University, Guangzhou 510006, China
  • 2. South China Center for Human Geography and Urban Development, Guangzhou University, Guangzhou 510006, China

Received date: 2023-12-28

  Revised date: 2024-02-15

  Online published: 2024-10-31

Abstract

Cities are facing a range of climate-related issues due to increased human activities and rapid urbanization. These issues include high energy consumption, air pollution, thermal discomfort and disease transmission, which can harm public health and quality of life. To develop effective planning strategies and gain a better understanding of the urban climatic environment, geospatial techniques have been employed. Satellite data has been widely used in urban climate studies due to its capability to quickly gather data over large areas. This study aims to provide a review of remote sensing techniques and its applications, including how different built environments affect urban warming and cooling effects. Additionally, this study presents further directions for remote sensing applications, which can be useful for future urban climate research.

Cite this article

XU Yong , CHEN Shangze , CAO Yongyin , HE Yuyang . Geospatial Techniques in Urban Climate Studies: A Comprehensive Overview[J]. South China Geographical Journal, 2024 , 2(1) : 23 -36 . DOI: 10.20125/j.2097-2245.202401003

城市热岛是指在气温上,城区气温高、郊区气温低的现象,在温度空间分布上,城市犹如一个温暖的岛屿。早期,欧洲学者1对伦敦城区和郊区的气温进行同时间的对比观测,发现伦敦城市区和郊区的气温差异,进而提出城市热岛效应。随后多年,各国学者对不同纬度、不同类型的全球城市相继作了大量的城、郊气温对比研究,亦发现类似现象2
在全球变化大背景下,随着全球人口增加及城市化进程加剧,各城市地区出现日趋严重的城市气候与城市环境问题,对居民的生活质量及公众健康造成负面影响。同时,在气候变化大背景下,不同城市内部出现差异性气候效应,如城市污染、城市干湿岛等现象3。据统计资料显示,全球每年约有420万人因空气污染而过早死亡,且空气污染严重区域大部分对应城市地区4。为了应对城市化所带来的城市环境恶化等城市病,各国先后采取了相应的应对方案5。以德国为首,许多欧洲国家早在20世纪中就已经开展城市环境规划与规划控制研究6。在亚洲,日本也于上世纪末开始城市环境研究,并出台了相应的法律和法规:如《都市空间热环境评价与对策技术开发》《城市热岛现象对策大纲》及《城市规划中的气候状况分析研究》7。在我国,香港、北京、武汉、西安及广州等城市也于2000年后陆续开展了城市风热环境研究工作。其中,香港规划署及相关研究团队于2003后开展了一系列的针对大型建筑开发项目设计的《空气流通评估方法》及针对城市规划设计的《都市气候图及风环境评估标准》8-9。可见,城市气候规划已成为当前城市空间规划研究的重要内容。
现有城市气候研究方法可归纳为3类:基于气象实测数据、数值模拟技术以及遥感分析方法。其中,早期城市气候研究主要基于气象观测数据,如Stewart和Oke10利用移动气象观测数据分析了日本长野县、加拿大温哥华及瑞典乌普萨拉3个城市的气候状况,并提出标准城市局部气候分区的概念。随着计算机数值模拟技术的发展,基于数值模拟研究逐渐用于探讨城市发展模式对城市的气象要素及边界层的影响11。当前,由国家大气研究中心、国家海洋和大气管理局及其合作伙伴共同开发的数值天气预测和大气研究工具(Weather Research and Forecasting,WRF)、流体力学数值模拟研究方法(Large eddy simulation,LES)、计算流体方法(Computational Fluid Dynamics,CFD)以及各类植被冠层模型已成为学者们较为常用的数值模拟工具,广泛用于探讨城市气候规律。除此之外,遥感技术由于其时序强和覆盖全等优势,近年也被广泛地应用于城市气候研究,正成为城市气候研究的一个重要方向。值得一提的是,国际城市数据库及其接口工具组织(The World Urban Database and Access Portal Tools,WUDAPT)于2015年提出利用开源地理遥感数据去构建标准城市气候分区数据共享平台,并开发相应技术方法,旨在为全球标准化气候研究提出一体化解决方案12-13
相比于其他方法,遥感方法弥补了气象观测方法中站点偏少数据代表性差等方面的不足,传统实测方法与遥感数据结合正成为城市气候研究的热点14-15。结合遥感数据,有学者探讨了不同地表覆盖类型及城市景观结构对城市热环境的格局影响与机理研究16。为了获取大范围精准城市地表温度信息,亦有学者发展先进地表温度反演技术17及基于多源遥感数据的融合技术18。当前热环境研究一个重点是考虑城市三维形态及景观格局对局地微气候的影响19-20
考虑到遥感技术在城市气候研究中的应用越来越普遍,本文将系统介绍遥感技术在城市气候研究中的各类运用,并对当前的研究热点进行归纳和总结。

1 遥感对地观测技术

遥感对地观测技术是指利用各种遥感平台和传感器对地球表面及其环境进行监测、测量和分析的技术。随着人工智能、大数据分析等技术的迅速发展,对地观测技术由于其对地球系统全方位实时观测,为开展环境监测和地球系统科学研究提供重要基础条件。遥感观测技术的发展经历了从传统的航空遥感到卫星遥感、无人机遥感等一系列重要进展,使得观测质量、观测范围及时效性均有了质的提升。目前,常见的遥感观测技术包括多光谱、高光谱、热红外及微波等。其中,多光谱常用于提取各类地表要素数据,热红外遥感则可用于获取城市地表温度,高光谱遥感可有效反演空气组成成分及污染分布状况,而微波遥感则可有效获取地物三维形态信息。常用的遥感数据包括美国Landsat系列卫星数据、欧空局的Sentinel卫星系列、意大利和德国的微波遥感卫星数据,以及我国的环境(HJ)及高分(GF)遥感卫星系列。
基于各类遥感观测技术,下文将以图1为例,详细介绍如何利用各类遥感技术获取城市气候研究所需的基本数据,包括如何获取城市地表属性及地表温度数据等。其中,第四节将系统探讨空间分析技术在城市气候中的基本应用,包括蓝绿空间降温效应及城市形态对城市热环境的影响;第五节则指出城市气候研究的一些前沿进展。
图1 总体研究框架

Fig.1 Overall research framework of this study

2 地表参数获取

快速城市化发展改变了原有城市地表覆盖及其物理属性,对城市环境造成一定破坏,产生一系列城市环境问题。如,热岛效应及空气污染等,为城市可持续发展带来挑战。由于遥感技术具备快速、大范围探测优势,很早就被应用于监测城市各类地表属性数据,包括地表覆盖及城市三维形态等。下面将针对各类地表属性,介绍遥感观测技术如何用于提取这些属性信息。

2.1 地表覆盖参数

2.1.1 植被指数

通过遥感光谱属性,将可见光与近红外组合,形成各类指数,用于表征地表植被覆盖浓密程度。最为常用的归一化植被指数(NDVI),其计算方式如下:
NDVI=(NIR-R)/(NIR+R),
其中,NDVI的取值范围为(-1,1),值越大表示植被覆盖浓密程度越高;NIR为近红外波段;R为红波段。
常见的具备红光及近红外波段中高分辨率遥感数据,均可用于植被指数的获取,如Landsat及Sentinel数据等。有学者使用多时间序列Landsat数据反演植被归一化差异植被指数,并进一步分析植被对热环境的影响21。除了常见的中低分辨率遥感数据,也有学者采用灵活度更高的无人机及街景图像信息来反演街区植被指数22

2.1.2 增强植被指数

增强植被指数是一种新的植被指数。考虑到传统的NDVI指数在不同大气环境、土壤背景及饱和度等干扰下存在一定的估算误差,有学者在NDVI的基础上进行改进提出增强植被指数23,其计算方法如下:
EVI=2.5×(NIR-R)/(NIR+6R-7.5B+1)
其中,EVI的取值范围为(-1,1),植被覆盖正常地区一般取值范围为(0.2,0.8)。在高密度植被覆盖区,EVI具有较高的敏感性,能够将土壤和空气对植被的影响降到最低程度24

2.1.3 植被冠层高度

植被冠层高度是用来描述地上生物量和植被相关结构的指标25-26。在生态学的研究中,冠层高度与其多样性被视为一种关键的生态系统结构指标27。学者们通过对冠层的高度分布进行深入研究,发现其分布模式对于预测全球范围内的生物多样性具有重要意义28。为了有效估算大范围冠层高度,有学者采用雷达数据进行估算29

2.1.4 建筑指数

建筑指数可用于反映建筑用地信息,是有效表达建成区面积的有效指标30,其计算公式如下:
NDBI = (SWIR1-NIR)/(SWIR1+NIR)
其中,EVI的取值范围为(-1,1),值越大表明建筑用地比例越高。一般来说,NDBI的值越高表示建成区,值越小则表示非建成区(如植被、水体等)。通常,利用具有短波红外及近红外波段的遥感数据,可结合式(3)得到大范围建筑指数信息。亦有学者采用传统遥感分类方法首先得到不同地表覆盖类别结果,进而提取单独的建筑类信息31

2.1.5 不透水面

不透水面表示具有不透水性质的地表覆盖物,如城市的建筑物、道路、停车场等。前人研究表明,不透水面面积可以很好地反映城市地表温度状况,不透水面面积越大通常对应地表温度越高32。而不透水面的计算通常可结合不同波段光谱特征,采用类似比值计算方法量化不透水面信息。
不透水面能够反映城市地表物理覆盖,也是驱动城市热岛的重要因子。对于城市局部地区来说,不透水面可以吸收更多的太阳辐射。同时,不透水面意味着地表蒸散能力弱,多余的热量不容易散发出去,导致地表温度不断升高,引起局地热岛效应。对于城市整体来说,由于城市中心不透水面覆盖大大高于郊区,会出现明显的热穹顶效应。

2.1.6 水体指数

水体作为城市蓝色空间,也是控制城市热环境的重要参数。为了有效获取大范围水体信息,有学者提出组合遥感近红外及绿色波段以提取水体信息33。常见的归一化差异水体指数(NDWI)计算公式[]如下:
NDWI = (Green-NIR)/(Green+NIR),
其中,Green表示绿色波段,NIR表示近红外波段。
NDWI指数对提取地表覆盖中的水体信息往往具有不错的效果。当城市建筑物阴影同水体混淆时,其提取效果会变差33。针对此,有学者提出利用中红外波段替代近红外波段,得到修正后的归一化水体指数(MNDWI)34

2.1.7 土地利用分类及局地气候分区(LCZ)

有证据显示,不同土地利用类型,能够一定程度反映城市的热环境分布状况35。根据土地利用类型,地表通常可分为住宅、商业及工厂等不同类型。在缺乏最新土地利用图的城市和地区,可以利用中高分辨率遥感数据,并采用监督分类的方法得到最新土地利用信息,如欧空局及美国USGS均采用中高分辨率遥感数据生成全球土地利用图。
近年,WUDAPT组织所提出的城市局地气候分区方法被证实可定量化表达城市热环境10。在此基础上,有学者结合城市气候分区的定义,提出结合遥感数据的标准LCZ分类方法36-37。该方法主要包括4个步骤:首先,获取研究区的遥感数据;其次,利用开源平台选择训练样本;再次,结合卫星遥感数据及训练样本,采用随机森林方法将整个研究区域分为不同的LCZ类别;最后,验证LCZ分类结果。目前,LCZ分类方法已成为分析城市热环境的标准方法,并广泛应用于分析全球城市的热环境38

2.2 城市形态参数

城市形态数据被证明同城市气候条件密切相关,如密集城市形态对应差的通风条件及空气污染等恶化城市环境39-40。如何快速有效获取城市三维形态信息,是地理信息及遥感领域的经典问题。目前,遥感技术成为获取大面积城市形态信息的快速且经济的方法40。根据现有遥感数据类型来划分,主要有3类形态提取技术:基于光学卫星影像,合成孔径雷达以及激光探测和测距数据(如图2所示)。然而,每类数据都有一定的局限性:高分光学遥感影像目前仍然花费较高,且其在探测密集高层建筑物的高度存在一定的误差41;雷达数据通常花销小,但雷达干涉测量技术通常只能提供有限的三维建筑提取结果(如噪声和不完整的建筑物边界),特别是对于建筑物相互遮挡严重的高密集大城市地区42,会存在数据丢失问题;车载激光雷达可以提供令人满意的结果,但其价格异常昂贵,同时严格的飞行许可政策限制了其在大范围城市地区的应用43。针对单个遥感数据存在的问题,有学者采用多源遥感数据融合的方法44,在复杂城市地区取得不错的三维提取效果45
图2 基于遥感技术的城市三维形态提取方法

Fig. 2 3D urban morphology detection techniques using remote sensing data

如此同时,Bechtel等37依据Stewart等提出的标准城市局地气候分区概念(依据城市形态因子,比如建筑密度、建筑高度与街道宽度比、地面透水性等),将城市结构划分为标准的17类气候区,探索利用免费开源遥感数据获取标准统一的城市局地气候分区的方法体系,以推动全球一体化城市气候研究37。为了提高分类精度,Bechtel36又提出结合免费光学及雷达遥感影像获取标准统一的城市局地气候分区的方法体系。亦有学者利用多源遥感及开源地理信息数据,实现更高准确度的城市气候分区分类结果46。还有学者采用机器学习方法,充分利用多源地理遥感数据优势,获取城市三维形态信息44
基于城市三维形态结构,可进一步获取常见的城市规划指标,如建筑高度、建筑面积、容积率、迎风面面积和天空视域因子等。Xu等38的研究显示,基于遥感数据所得的形态参数同真实形态参数对于模拟城市风热环境效果上具有高度一致性。这一研究结果也表明,基于遥感所得城市形态参数具有很好的城市气候应用价值。

2.3 地表温度

地表温度是地表与大气以及大气和陆地之间相互作用而产生的综合能量平衡结果47。地表温度作为地表的重要物理参量,不仅可以反映城市热排放及热舒适度,还能反映大气中的能量平衡状况,同时,其在数值预测、全球环流模型和区域气候模式中均具有重要的应用价值48。地表温度通常可直接采用遥感数据的热红外波段定量反演得到。常见地表温度遥感反演算法有辐射传输方程、单通道及分裂窗算法。下面将以单一热红外波段为例,介绍温度反演思路。
以单通道反演算法为例,通常假设卫星传感器接收到的热红外辐射亮度值由3部分组成:大气向上辐射亮度L↑,地面的真实辐射亮度经过大气层之后到达卫星传感器的能量及大气向下辐射到达地面后反射的能量。依据辐射传输原理,卫星传感器接收到的热红外辐射亮度值的表达式可写为:
= [εB(TS) + (1-ε)L↓]τ + L↑,
其中,ε为地表比辐射率,T S为地表真实温度(K),BT S)为黑体热辐射亮度,τ为大气在热红外波段的透过率。
式(5)中,有2个未知参数,包括地表温度TS和地表比辐射率ε。如果进一步假设比辐射率同植被指数具有一定关系,则比辐射率参数可由植被指数拟合得到。这样,上述公式只剩下一个地表温度参数TS,可由单一遥感热红外波段解算得到。如果为了得到更加精确的解算结果,则可以利用2个或多个热红外波段信息,同时解算地表温度和比辐射率2个参数,这样的解算方法通常就称为分裂窗算法。
考虑到城市地表的复杂性及时空异质性,如何有效验证现有城市地区温度反演结果仍存在一定挑战。为了有效验证地表温度反演精度,有学者尝试发展基于实测温度48及基于辐射的验证方法49。相比于遥感所得的地表温度,城市空气温度更能代表城市街区热环境及热舒适度。由于空气温度通常需要借助固定或移动气象观测装置得到,难以做到大范围覆盖。为了快速获取整个街区大范围的空气温度信息,有学者尝试结合地表物理属性参数及少量气象观测数据,采用机器学习方法来模拟整个街区的空气温度50。作者在香港的试验结果亦表明,结合城市形态及地表温度数据,可较好地模拟城市街道的空气温度,特别是城市夜晚空气温度20。受限于复杂城市下垫面及多变的局地环流特征,城市内部气温和地温关系复杂,如何利用地表温度准确反演空气温度仍然存在一定挑战51

3 城市气候应用

3.1 城市蓝绿空间降温效应

大量研究表明,城市绿化(如绿色屋顶、绿色立面、行道树等)和绿地(如城市公园、森林、草地、灌丛、剩余农田等)具有缓解城市热岛的效果52。绿地降温的理论依据在于,植被的蒸腾作用及遮荫效应可以较好地冷却地面,同时植被通过对辐射的选择性吸收和反射以及对潜热和感热的交换来调节温度,从而缓解城市热岛效应。
城市公园绿地不仅对自身区域范围产生降温效果,同时也会影响到其周边环境的温度(如图3所示)。有研究显示,城市公园与周边地区在不同时间的平均气温差异在0.6~2.8 ℃之间,午夜差距可达4.8 ℃53。除了降温强度的改变,研究亦发现随着距公园边界的距离增加,周围环境的空气温度呈现逐渐升高的趋势。这表明城市公园绿地对其附近的区域同样具有降温作用,这种降温效果可能从公园边界延伸至几十米到千米以上53。除公园本身特征之外,研究还发现降温效果同公园周边的建筑形态、天空视角因子(SVF)、空间位置以及土地覆盖等特征有关。相较于草地和灌木等植被覆盖来说,城市树木具有更大的降温效果54。也有学者指出,绿地的降温效果同气候区的背景条件亦有关55
图3 城市蓝绿空间降温效果示意图

Fig.3 Schematic diagram of the cooling effect of urban blue-green space

此外,水体作为城市蓝色空间亦具有降温效果,其中水体面积及形状等特征常被认为与其降温效果有关56。城市绿地相比于城市水体,在不同地区表现不同降温效果,有的研究发现水体的降温效果略强于绿地,也有显示绿地降温效果强于水体52。近年,有学者尝试探讨植被和水体的协同降温机理研究,发现协同效果白天要显著强于晚上,特别是近水的区域57-58

3.2 城市形态与城市热环境

城市形态同城市环境密切相关,高密集形态通常对应高的城市热环境。有学者利用遥感数据,验证了不同城市形态参数对城市热环境的影响40。结合地表温度数据,Huang等19分析了不同地表形态参数对地表温度的影响,发现城市形态具有较好的地表温度解释效力。类似地,Logan等60利用白天和夜晚地表温度观测数据,发现植被和不透水面是影响城市地表温度的2个重要参数。
相对于遥感地表温度所得结果,基于空气温度分析结果显示,城市三维形态对空气温度的影响要比二维形态更加显著20。类似地,Tian等61利用北京移动气象观测数据,指出城市街区空气温度同街区建筑物三维高度及街道天空开敞度有关,这意味着楼层高且间距小的街区会影响空气流通并减缓热排放,容易形成局地热岛效应。Alavipanah等62对比分析不同城市二维及三维形态指标对城市热环境的影响,结果显示三维指标作用更加明显。Berger等63基于德国柏林的结果亦表明,街区三维形态指标始终优于一些常见的二维形态指标。我们基于香港的研究结果亦显示,城市三维形态对气温影响更为显著,而二维形态参数对地表温度的影响更显著,且不同形态参数具有差异化尺度效应20
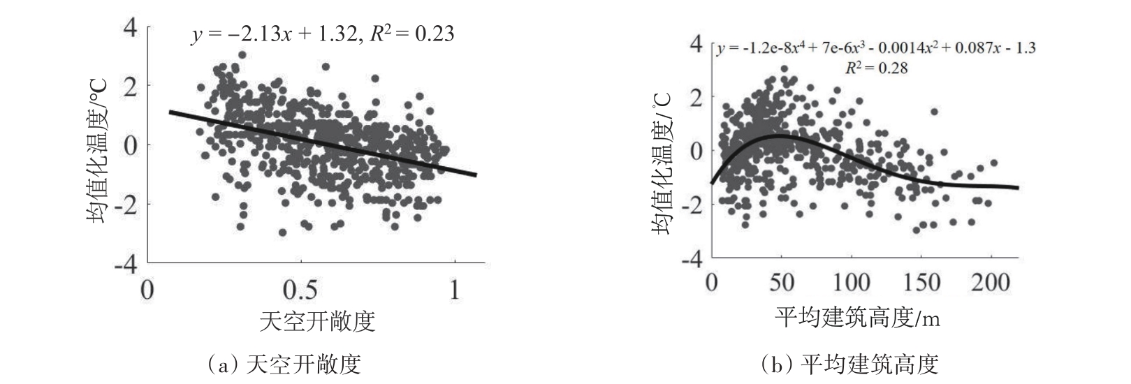
总体来说,天空开敞度(SVF)、街道高宽比(H/W)及建筑高度(BH)等形态参数是探讨城市热环境的常见指标。如图4所示,香港地区天空开敞度及建筑高度同热环境关系,其中天空开敞度同温度呈负相关,而建筑高度开始呈正相关,而到达一定高度后呈负相关。尽管有些地区显示天空开敞度(SVF)同城市空气温度关系不显著,然而天空开敞度(SVF)在大部分城市地区呈负的增温影响64,这意味着增加街区天空开敞度,可有效改善大部分城市街区的热岛强度。此外,街道高宽比与气温亦高度有关20。值得一提的是,有学者发现,在白天街道高宽比及建筑高度同温度相关性为负,而在夜晚则为正相关65。原因主要是白天较大的街区高宽比和建筑高度可以增加遮阴面积,使地表温度下降,进而影响空气温度;而在晚上,较大的街区高宽比和建筑高度可能抑制下垫面的能量损耗,减缓地表冷却速度从而导致晚上空气温度上升。总体来说,夜间空气温度主要受城市下垫面影响,城市形态通过对地表温度的调控进而影响空气温度的动态变化20
图4 不同城市形态因子对城市热环境的影响

Fig.4 Impacts of different urban morphological factors on urban thermal environments

3.3 城市局地气候分析

除了形态参数,亦有研究采用标准城市局地气候分区来分析城市热环境10。现有结果显示,无论是采用地表温度还是空气温度,不同LCZ类别均有明显热力差异,也说明了LCZ分类对城市热环境分析的有效性。总体上讲,城市LCZ类别(如LCZ 1-8)往往比植被类LCZ类型(例如LCZ A-D)具有更高的地表和空气温度。主要原因在于:自然LCZ类别中的植被和潮湿土壤可以有效减缓白天的升温过程。除了城市LCZ类型外,还有一些自然LCZ类型,如LCZ E(裸地),可能会呈现较高的地表温度,其原因在于郊区裸地的热力特性,使其白天升温较快。
结合遥感及实测气象数据,图5显示香港和广州两个城市不同LCZ类别在白天和夜晚的热力差异35。结果显示,在白天,密集城市形态(如LCZs 2和3)通常比开放城市形态(如LCZs 4-6)具有更高的地表温度。原因是开放城市LCZ类别通常包含一些植被和土壤覆盖,可以有效减缓地表升温过程。同时,在白天,高密度低层建筑形态表面温度往往高于其他高密度建筑组别,包括高密度较高高度的分区类别(如LCZs 1和2)。其原因可能是热负荷大以及高层建筑形态的遮阳效果,比低矮建筑形态更能抑制升温过程。开放LCZ类别之间的差异同密集和开放LCZ类别之间的差异相比,区分度较小。此外,高层LCZ类别在不同城市中的表现略有不同,广州开敞式高层建筑的地表温度低于香港的同一气候分区类别。其中一个原因可能是广州的开放气候分区类型具有较高植被覆盖和透水面,因此具有较大的冷却效果,使得白天地表温度升温较慢。
图5 基于局地气候分区的城市热环境分析

Fig.5 Daytime and nighttime urban thermal environments within local climate zones

相比于白天,晚上地表温度同晚上空气温度观测结果较一致。如图5所示,相比于白天,最大区别在于一些具有高热容量的城市LCZ类别(如LCZ 1)夜间的表面温度远远高于白天,如LCZ 1在白天地表温度较低,但夜间几乎达到最高水平。此外,一些地表温度相对较高的LCZ类别往往会在夜间降温,如LCZ 3和LCZ 8。原因可能是低层建筑的热容量较低,通风条件良好,因此其降温速度比其他LCZ类别快速。值得一提的是,LCZ 1和LCZ 2高于其他城市LCZ类别的温度。其中,广州的LCZ 1类别夜间表面温度最高,而香港是LCZ 2类别的夜间表面温度最高。原因可能是观测香港时存在强烈的海陆交互作用(如海风),导致高密集建筑形态的冷却速度比其他建筑类型快得多。

4 城市气候前沿进展

4.1 垂直绿化降温

考虑城市内部空间有限,垂直绿化(如在建筑物外墙或屋顶上铺设植被),正成为不少城市(如香港、新加坡等)采用的气候改善方案。现有研究亦表明,垂直墙面绿化具有较明显的降温效果,如De Jesus等66对西班牙马德里市结果显示,绿化墙体可使得街区气温降低达2.5~2.9 ℃。类似地,Morakinyo等67模拟香港地区不同屋顶绿化方案,显示屋顶绿化可有效改善室外和室内温度条件及热舒适度。也有学者探讨如何结合城市街区形态布局,采取合理树木形态或树木类型,实现最佳降温效果68。类似地,有学者利用遥感数据,显示植被的三维形态对街区温度改善效果显著优于二维植被参数,这也意味着垂直绿化具有较好降温潜力69
除了垂直绿化,有学者指出高反照率涂层屋顶也能起到降温的效果,而且维护起来更为便捷。高反射率涂层的原理在于当太阳辐射经过涂层屋顶上,它会反射回天空,从而不会使屋顶温度升高。结合遥感数据,有研究显示涂层屋顶比绿色屋顶更能显著降低环境温度70。亦有研究结合模型方法,指出绿色屋顶及涂层屋顶在一定气象条件下具有类似的降温效果,显示增加屋顶反照率或改善垂直绿化均具有改善城市热环境的应用潜力71

4.2 温度变化时序规律

现有研究表明植被会受周围环境(如温度、光照和降水等)影响而出现周期性变化72。随着时序遥感数据的方便获取,为观测和分析不同地表覆盖的时序变化规律(如日及年变化周期)提供极大的便利。如Bechtel等37尝试利用时序遥感地表温度数据,提出基于三角函数的年周期参数估算,成功提取地表温度年周期规律。在此基础之上,Sismanidis等73利用地球同步观测数据,得到更加精细的地表日周期变化规律,并用实测数据进行了验证,这为了解地表热力变化规律提供了新的数据和方法。结合地表温度时序变化规律,Lai等74进一步探讨了不同时间尺度热岛效应的主要影响因素,包括地表属性、背景气候及城市发展强度。除了地表温度,有学者还发现空气温度同地表温度相比具有明显时序滞后效应,这为研究地气交互动态规律提供了重要依据75
除了温度周期变化规律,有研究人员发现城市气候变化会造成植被整体变绿现象,也称施肥效应。进一步研究发现,城市热岛会改变植被的物候,包括春季提前落叶、秋季衰老延迟以及生长周期的改变等76。由于城市内部热岛效应,造成城市内部植被的影响超过郊区,并呈现出一定的距离递减效应77。除了气候变化的影响之外,城市地表覆盖类型变化以及人类活动强度等因素,也会直接或间接影响着植被的物候变化78-79。受限于观测资料的有限性及植被变化的复杂机理,如何结合多源地理遥感数据,分析城市化及人类活动对植被物候的影响,值得进一步研究78

4.3 城市气候模拟

相比于实测及遥感观测方法,数值模型方法具备更好的时空精细度,可动态模拟城市环境的时空变异规律,为深入理解气候规律提供重要手段80。结合多元技术手段研究城市气候问题,正成为近年气候研究的重要方向。如Li等81结合实测及城市冠层模型分析了城市热岛的主导因子为地表蒸散潜力。Kwok等80结合气候模型评估局地气候分区的热力规律,并以法国图卢兹街区空气温度及平均辐射温度为例,指出不同LCZ类别具有较好的热力表达性能。
除了能够动态模拟精细尺度城市环境,数值模拟技术的另一优点是可以评估未来城市发展模式对城市气候的影响,为城市空间规划提供科学依据。有学者配合未来城市变化发展模式RCP(典型浓度路径)和SSP(共享社会经济路径),开展不同土地利用强度变化情景下,模拟城市热岛效应及影响59。也有学者对比分析不同城市群发展模式,包括中心城市及卫星城市发展模式对未来气候变化的影响差异,为城市群发展规划提供建议82
值得关注的是,近年来有学者利用数值模型,甚至可以较好地模拟极端气候状况,包括酷热天气变化状况等。如Ghanbari等83采用数值模型技术模拟城市化及气候变化条件下极端干热事件发生概率,并指出城市化会加剧极端干热气候事件概率,该结果为合理评估未来气候变化及潜在健康影响提供新思路。

5 总结

本文系统总结了遥感对地观测技术在城市气候研究中的基本应用,包括城市地表各类参数提取与城市气候评价。论文系统介绍了如何利用各类遥感观测技术获取一系列城市气候研究相关基础数据,包括地表覆盖(如植被、建筑物),城市形态及地表温度等。在城市气候数据基础上,重点探讨了空间分析技术在蓝绿空间、城市二维、三维形态以及城市局地气候分区等城市气候影响分析,并指出当前高密度城市环境研究所存在的主要问题,包括地气耦合规律及人类活动影响分析等。
此外,本文对当前城市气候的一些热点研究作了一定探讨,包括城市垂直绿化及冷却屋顶的降温效应。考虑到基于地理大数据分析对于城市气候研究普遍存在物理机理解释性的不足,介绍了当前如何结合数值模拟技术,开展城市气候动态模拟及针对未来气候变化情景的城市气候评估研究。此外,结合遥感数据的时序观测优势,探讨了如何结合多时序遥感数据分析气候变化对植被物候的影响。考虑到未来遥感传感器在时-空-谱-角等性能和处理技术上会有进一步的突破,新的遥感技术定会更加广泛和有效地推动未来城市气候研究。
1
Howard L. Climate of London deduced from meteorological observation[J]. Harvey and Darton, 1833,1(3):1-24.

2
Oke T R. Canyon geometry and the nocturnal urban heat island: Comparison of scale model and field observations[J]. International Journal of Climatology, 1981,1(3):237-254.

3
Tsao T, et al. Urban climate and cardiovascular health: Focused on seasonal variation of urban temperature, relative humidity, and PM2.5 air pollution[J]. Ecotoxicology and Environmental Safety, 2023,263:115358.

4
Cohen A J, Brauer M, Burnett R, et al. Estimates and 25-year trends of the global burden of disease attributable to ambient air pollution: An analysis of data from the global burden of diseases study 2015[J]. The Lancet, 2017,389(10082):1907-1918.

5
Reckien D, Salvia M, Heidrich O, et al. How are cities planning to respond to climate change? Assessment of local climate plans from 885 cities in the EU-28[J]. Journal of Cleaner Production, 2018,191:207-219.

6
Schwarz N, Bauer A, Haase D. Assessing climate impacts of planning policies—An estimation for the urban region of Leipzig (Germany)[J]. Environmental Impact Assessment Review, 2011, 31(2):97-111.

7
TMG, Guidelines for Heat Island Control Measures [summary edition], 2005, Planning and Coordination Section, Urban and Global Environment Division, Bureau of the Environment, Tokyo Metropolitan Government: Tokyo, Japan.

8
Plan D. Technical guide for air ventilation assessment for developments in Hong Kong[Z]. PlanD Hong Kong Government, Hong Kong, 2005: 9.

9
Ng E, et al. Final report and appendices, urban climatic map and standards for wind environment-feasibility study[Z]. Technical Report, commissioned by Planning Department of HKSAR, Hong Kong2012: 518.

10
Stewart I D, Oke T R. Local climate zones for urban temperature studies[J]. Bulletin of the American Meteorological Society, 2012,93(12):1879-1900.

11
Wang W, Xu Y, Ng E, et al. Evaluation of satellite-derived building height extraction by CFD simulations: A case study of neighborhood-scale ventilation in Hong Kong[J]. Landscape and Urban Planning, 2018,170:90-102.

12
Mills G, Ching J, See L, et al. An Introduction to the WUDAPT project[C]// 9th International Conference on Urban Climate[C]. Toulouse, 2015.

13
See L, Mills G, Ching J. Climate modelling: Community initiative tackles urban heat[J]. Nature, 2015,526(43):5260436.

14
Zhan W, Chen Y, Zhou J, et al. Disaggregation of remotely sensed land surface temperature: Literature survey, taxonomy, issues, and caveats[J]. Remote Sensing of Environment, 2013,131:119-139.

15
Zhou D, Xiao J, Bonafoni S, et al. Satellite remote sensing of surface urban heat islands: Progress, challenges, and perspectives[J]. Remote Sensing, 2018,11(1):48.

16
Peng J, Jia J, Liu Y, et al. Seasonal contrast of the dominant factors for spatial distribution of land surface temperature in urban areas[J]. Remote Sensing of Environment, 2018,215:255-267.

17
Ren H, Ye X, Liu R, et al. Improving land surface temperature and emissivity retrieval from the Chinese Gaofen-5 satellite using a hybrid algorithm[J]. IEEE Transactions on Geoscience and Remote Sensing, 2018,56(2):1080-1090.

18
Shen H, Meng X, Zhang L. An integrated framework for the spatio-temporal-spectral fusion of remote sensing images[J]. IEEE Transactions on Geoscience and Remote Sensing, 2016,54(12):7135-7148.

19
Huang K, Li X, Liu X, et al. Projecting global urban land expansion and heat island intensification through 2050[J]. Environmental Research Letters, 2019,14(11):114037.

20
Xu Y, Yang J, Zheng Y, et al. Impacts of two-dimensional and three-dimensional urban morphology on urban thermal environments in high-density cities: A case study of Hong Kong[J]. Building and Environment, 2024:111249.

21
Yang J, Shi Q, Menenti M, et al. Characterizing the thermal effects of vegetation on urban surface temperature[J]. Urban Climate, 2022,44:101204.

22
Gaw L Y, Chen S, Chow Y S, et al. Comparing street view imagery and aerial perspectives in the built environment[J]. ISPRS Annals of the Photogrammetry, Remote Sensing and Spatial Information Sciences, 2022,10:49-56.

23
Liu H Q, Huete A. A feedback based modification of the NDVI to minimize canopy background and atmospheric noise[J]. IEEE Transactions on Geoscience and Remote Sensing, 1995,33(2):457-465.

24
Jiang Z, Huete A R, Didan K, et al. Development of a two-band enhanced vegetation index without a blue band[J]. Remote Sensing of Environment, 2008,112(10):3833-3845.

25
Asner G P, Mascaro J. Mapping tropical forest carbon: Calibrating plot estimates to a simple LiDAR metric[J]. Remote Sensing of Environment, 2014,140:614-624.

26
Dubayah R, Blair J B, Goetz S, et al. The global ecosystem dynamics investigation: High-resolution laser ranging of the Earth’s forests and topography[J]. Science of Remote Sensing, 2020,1:100002.

27
Atkins J W, Walter J A, Stovall A E L, et al. Power law scaling relationships link canopy structural complexity and height across forest types[J]. Functional Ecology, 2021,36:713-726.

28
Gatti R C, Paola A D, Bombelli A, et al. Exploring the relationship between canopy height and terrestrial plant diversity[J]. Plant Ecology, 2017,218:899-908.

29
Karila K, Vastaranta M, Karjalainen M, et al. Tandem-X interferometry in the prediction of forest inventory attributes in managed boreal forests[J]. Remote Sensing of Environment, 2015,159:259-268.

30
Estoque R C, Murayama Y. Classification and change detection of built-up lands from Landsat-7 ETM+ and Landsat-8 OLI/TIRS imageries: A comparative assessment of various spectral indices[J]. Ecological Indicators, 2015,56:205-217.

31
Karanam H K, Neela V B. Study of normalized difference built-up (NDBI) index in automatically mapping urban areas from Landsat TN imagery[J]. Int J Eng Sci Math, 2017,8:239-248.

32
Azmi R, Alami O B, Saadane A E, et al. A modified and enhanced normalized built-up index using multispectral and thermal bands[J]. Indian J. Sci. Technol, 2016,9(28):1-11.

33
McFeeters S K. The use of the Normalized Difference Water Index (NDWI) in the delineation of open water features[J]. International Journal of Remote Sensing, 1996,17(7):1425-1432.

34
Xu H. Modification of normalised difference water index (NDWI) to enhance open water features in remotely sensed imagery[J]. International Journal of Remote Sensing, 2006,27(14):3025-3033.

35
Chen X L, Zhao H M, Li P X, et al. Remote sensing image-based analysis of the relationship between urban heat island and land use/cover changes[J]. Remote Sensing of Environment, 2006,104(2):133-146.

36
Bechtel B, Alexander P J, Böhner J, et al. Mapping local climate zones for a worldwide database of the form and function of cities[J]. ISPRS International Journal of Geo-Information, 2015,4(1):199-219.

37
Bechtel B. Robustness of annual cycle parameters to characterize the urban thermal landscapes[J]. IEEE Geoscience and Remote Sensing Letters, 2012,9(5):876-880.

38
Xu Y, Ren C, Cai M, et al. Classification of local climate zones using ASTER and Landsat data for high-density cities[J]. IEEE Journal of Selected Topics in Applied Earth Observations and Remote Sensing, 2017,10(7):3397-3405.

39
Ng E, et al. Final report and appendices, urban climatic map and standards for wind environment-feasibility study[J]. Technical Report, Commissioned by Planning Department of HKSAR, 2012: Hong Kong, 2017:518.

40
Xu Y, Ren C, Ma P, et al. Urban morphology detection and computation for urban climate research[J]. Landscape and Urban Planning, 2017,167:212-224.

41
Zeng C, Wang J, Zhan W, et al. An elevation difference model for building height extraction from stereo-image-derived DSMs[J]. International Journal of Remote Sensing, 2014,35(22):7614-7630.

42
Colin-Koeniguer E, Trouve N. Performance of building height estimation using high-resolution PolInSAR images[J]. IEEE Transactions on Geoscience and Remote Sensing, 2014,52(9):5870-5879.

43
Zhou G, Zhou X. Seamless fusion of LiDAR and aerial imagery for building extraction[J]. IEEE Transactions on Geoscience and Remote Sensing, 2014,52(11):7393-7407.

44
Li M, Koks E, Taubenböck H, et al. Continental-scale mapping and analysis of 3D building structure[J]. Remote Sensing of Environment, 2020,245:111859.

45
Xu Y, Ma P, Ng E, et al. Fusion of WorldView-2 stereo and multi-temporal TerraSAR-X images for building height extraction in urban areas[J]. IEEE Geoscience and Remote Sensing Letters, 2015,12(8):1795-1799.

46
Gál T, Bechtel B, Unger J. Comparison of two different local climate zone mapping methods[A]. In 9th International Conference on Urban Climate (ICUC9)[C]. July 20-24, Toulouse, France, 2015.

47
Anderson M C, Norman J M, Kustas W P, et al. A thermal-based remote sensing technique for routine mapping of land-surface carbon, water and energy fluxes from field to regional scales[J]. Remote Sensing of Environment, 2008,112(12):4227-4241.

48
Li Z L, Tang B H, Wu H, et al. Satellite-derived land surface temperature: Current status and perspectives[J]. Remote Sensing of Environment, 2013,131:14-37.

49
Hulley G C, Hook S J. Generating consistent land surface temperature and emissivity products between ASTER and MODIS data for earth science research[J]. IEEE Transactions on Geoscience and Remote Sensing, 2010,49(4):1304-1315.

50
Zhou B, Erell E, Hough I, et al. Estimating near‐surface air temperature across Israel using a machine learning based hybrid approach[J]. International Journal of Climatology, 2020,40(14):6106-6121.

51
Venter Z S, Chakraborty T, Lee X. Crowdsourced air temperatures contrast satellite measures of the urban heat island and its mechanisms[J]. Science Advances, 2021,7(22):eabb9569.

52
Tan X, Sun X, Huang C, et al. Comparison of cooling effect between green space and water body[J]. Sustainable Cities and Society, 2021,67:102711.

53
Yan H, Wu F, Dong L. Influence of a large urban park on the local urban thermal environment[J]. Science of the Total Environment, 2018,622:882-891.

54
Knight T, Price S, Bowler D, et al. How effective is ‘greening’of urban areas in reducing human exposure to ground-level ozone concentrations, UV exposure and the ‘urban heat island effect’? A protocol to update a systematic review[J]. Environmental Evidence, 2016,5(1):1-6.

55
Zhao L, Lee X, Smith R B, et al. Strong contributions of local background climate to urban heat islands[J]. Nature, 2014,511(7508):216-219.

56
Ampatzidis P, Kershaw T. A review of the impact of blue space on the urban microclimate[J]. Science of the Total Environment, 2020,730:139068.

57
Hu L, Li Q. Greenspace, bluespace, and their interactive influence on urban thermal environments[J]. Environmental Research Letters, 2020,15(3):034041.

58
Zhou W, Cao W, Wu T, et al. The win-win interaction between integrated blue and green space on urban cooling[J]. Science of The Total Environment, 2023,863:160712.

59
Huang K, Li X, Liu X, et al. Projecting global urban land expansion and heat island intensification through 2050[J]. Environmental Research Letters, 2019,14(11):114037.

60
Logan T M, Zaitchik B, Guikema S, et al. Night and day: The influence and relative importance of urban characteristics on remotely sensed land surface temperature[J]. Remote Sensing of Environment, 2020,247:111861.

61
Tian Y, Zhou W, Qian Y, et al. Comparison of cooling effect between green space and water body[J]. Sustainable Cities and Society, 2021,67:102711.

62
Alavipanah S, Schreyer J, Haase D, et al. The effect of multi-dimensional indicators on urban thermal conditions[J]. Journal of Cleaner Production, 2018,177:115-123.

63
Berger C, Rosentreter J, Voltersen M, et al. Spatio-temporal analysis of the relationship between 2D/3D urban site characteristics and land surface temperature[J]. Remote Sensing of Environment, 2017,193:225-243.

64
Zheng Y, Ren C, Shi Y, et al. Mapping the spatial distribution of nocturnal urban heat island based on Local Climate Zone framework[J]. Building and Environment, 2023,234:110197.

65
Loughner C P, Allen D J, Zhang D L, et al. Roles of urban tree canopy and buildings in urban heat island effects: Parameterization and preliminary results[J]. Journal of Applied Meteorology and Climatology, 2012,51(10):1775-1793.

66
De Jesus M P, Lourenço J M, Arce R M, et al. Green façades and in situ measurements of outdoor building thermal behavior[J]. Building and Environment, 2017,119:11-19.

67
Morakinyo T E, Dahanayake K K C, Ng E, et al. Temperature and cooling demand reduction by green-roof types in different climates and urban densities: A co-simulation parametric study[J]. Energy and Buildings, 2017,145:226-237.

68
Morakinyo T E, Ouyang W, Lau K K L, et al. Right tree, right place (urban canyon): Tree species selection approach for optimum urban heat mitigation-development and evaluation[J]. Science of the Total Environment, 2020,719:137461.

69
Chen J, Zhan W, Jin S, et al. Separate and combined impacts of building and tree on urban thermal environment from two-and three-dimensional perspectives[J]. Building and Environment, 2021,194:107650.

70
Mackey C W, Lee X, Smith R B. Remotely sensing the cooling effects of city scale efforts to reduce urban heat island[J]. Building and Environment, 2012,49:348-358.

71
Wang L, Huang M, Li D. Where are white roofs more effective in cooling the surface?[J]. Geophysical Research Letters, 2020,47(15):e2020GL087853.

72
Zhao L, Wang S, Shen R, et al. Biodiversity stabilizes plant communities through statistical-averaging effects rather than compensatory dynamics[J]. Nature Communications, 2022,13(1):7804.

73
Sismanidis P, Bechtel B, Keramitsoglou I, et al. Satellite-derived quantification of the diurnal and annual dynamics of land surface temperature[J]. Remote Sensing of Environment, 2021,265:112642.

74
Lai J, Zhan W, Voogt J, et al. Meteorological controls on daily variations of nighttime surface urban heat islands[J]. Remote Sensing of Environment, 2021,253:112198.

75
Song J, Wang Z H, Myint S W, et al. The hysteresis effect on surface-air temperature relationship and its implications to urban planning: An examination in Phoenix, Arizona, USA[J]. Landscape and Urban Planning, 2017,167:198-211.

76
Zhou Y. Understanding urban plant phenology for sustainable cities and planet[J]. Nature Climate Change, 2022,12(4):302-304.

77
Zhang X, Friedl M A, Schaaf C B, et al. The footprint of urban climates on vegetation phenology[J]. Geophysical Research Letters, 2004,31(12).

78
Meng L, Zhou Y, Román M O, et al. Artificial light at night: an underappreciated effect on phenology of deciduous woody plants[J]. PNAS Nexus, 2022,1(2):pgac046.

79
Li L, Zhan W, Ju W, et al. Competition between biogeochemical drivers and land-cover changes determines urban greening or browning[J]. Remote Sensing of Environment, 2023,287:113481.

80
Kwok Y T, Schoetter R, Lau K K L, et al. How well does the local climate zone scheme discern the thermal environment of Toulouse (France)? An analysis using numerical simulation data[J]. International Journal of Climatology, 2019,39(14):5292-5315.

81
Li D, Liao W, Rigden A J, et al. Urban heat island: Aerodynamics or imperviousness?[J]. Science Advances, 2019,5(4):eaau4299.

82
Yang L, Niyogi D, Tewari M, et al. Contrasting impacts of urban forms on the future thermal environment: Example of Beijing metropolitan area[J]. Environmental Research Letters, 2016,11(3):034018.

83
Ghanbari M, Arabi M, Georgescu M, et al. The role of climate change and urban development on compound dry-hot extremes across US cities[J]. Nature Communications, 2023,14(1):3509.

Outlines

/