Application Studies

The Impact Mechanism of Residing in Urban Villages on the Social Integration of the Floating Population: An Empirical Study in Guangzhou Based on a Social Capital Mediation Model

  • LIANG Ge ,
  • CHEN Peiling ,
  • MO Qiyin ,
  • CHEN Lin
Expand
  • School of Geography, South China Normal University, Guangzhou 510631, China

Received date: 2025-03-15

  Revised date: 2025-05-15

  Online published: 2025-09-28

Abstract

The social integration of the floating population has emerged as a central issue in the context of China's new urbanization. Urban villages, as a primary type of migrant settlement, exert complex influences on migrants' integration experiences. However, the mechanisms through which residential conditions in urban villages affect social integration remain underexplored. Moreover, existing studies predominantly emphasize local integration processes, often overlooking the role of trans-regional interactions. Drawing on original survey data collected in Guangzhou, this study introduces a social capital perspective and develops a theoretical framework linking urban village residence-social capital–social integration. A moderated mediation model is employed to systematically examine: (1) the direct effects of residing in urban villages on social integration; (2) the mediating role of social capital, including relational networks, trust, and reciprocity norms; and (3) the moderating influence of return migration frequency. The findings indicate that: (1) living in urban villages significantly lowers the level of social integration among the floating population, reaffirming the spatial segregation effect; (2) social capital serves as a key mediating mechanism, with relationship networks, trust, and reciprocity acting as distinct transmission pathways; and (3) a higher frequency of returning to one's hometown mitigates the adverse effects of urban village residence on both social capital and social integration, by providing emotional, social, and material support from origin communities. This reveals the moderating function of cross-regional social ties in the integration process. This study advances current understandings of how urban village residential environments influence migrant integration, while extending the application of social capital theory within migration studies. It further highlights the potential of urban villages as spaces for social capital reconstruction and emphasizes the importance of migrants' sustained linkages between their hometowns and host cities. These insights contribute to promoting more inclusive and human-centered urbanization strategies.

Cite this article

LIANG Ge , CHEN Peiling , MO Qiyin , CHEN Lin . The Impact Mechanism of Residing in Urban Villages on the Social Integration of the Floating Population: An Empirical Study in Guangzhou Based on a Social Capital Mediation Model[J]. South China Geographical Journal, 2025 , 3(2) : 93 -109 . DOI: 10.20125/j.2097-2245.202502008

0 引言

随着城市化进程的加速与户籍制度的逐步改革,中国经历了前所未有的人口迁移浪潮,流动人口的居住模式逐渐从“暂住”转变为“常住”乃至“定居”,在群体结构、需求以及社会意识等方面表现出新的特征1。2020年《中共中央关于制定国民经济和社会发展第十四个五年规划和二〇三五年远景目标的建议》明确提出,要加快流动人口的社会融合,推进以人为核心的新型城镇化2,这对实现边缘群体的资源共享和提升其幸福感具有重要意义。因此,流动人口如何更好地融入流入地社会,成为当前城镇化进程中的一项紧迫挑战。
现有研究表明,流动人口的社会融合差异不仅表现为群体间的不平衡,也呈现出显著的空间维度特征。在不同城市、城市内部不同区域,乃至社区层级,社会融合水平存在显著差异3-4。在中国,城中村作为一种常见的非正式住房形式,是研究流动人口及其社会融合的重要场域。由于其低廉的租金、优越的地理位置和便捷的交通条件,城中村为大量流动人口提供了聚居场所5-6。然而,由于环境恶劣、管理混乱等原因,城中村又与外界形成了一定程度的“隔离”7,并呈现鲜明的“非正式”特征。尽管已有研究探讨了不同住房类型对流动人口社会融合的影响8-9,但针对城中村居住对流动人口社会融合的直接影响,尤其是其中介机制的研究仍较为匮乏。
此外,虽然已有研究关注社会融合的空间效应,但尚未系统阐述居住在城中村如何通过社会资本的中介作用影响流动人口的社会融合。社会资本作为社会网络研究的一种重要的理论取向和分析工具,近年来开始受到广泛关注。Bourdieu10首次提出社会资本是通过社会关系网络中成员间的信任与支持,基于共同利益交换资源的持久性关系。社会资本由互动模式产生11,而居住空间作为流动人口生活的“锚点”,深刻影响着其日常交往互动模式。流动人口通过与本地居民建立信任和互惠规范,进而实现信息和资源的交换。这种社会资本的积累预期对社会融合起到积极作用。同时,流动人口的社会融合并非仅受流入地的单向制约。流动人口与“原乡”的动态互动也可通过维系跨地域社会网络与情感联系,获取替代性信息与资源,从而调节流入地居住对社会融合与社会资本的影响。
然而,目前对于城中村、社会资本与社会融合之间的关系,尤其是社会资本如何作为中介发挥作用的相关机制未被充分探讨,且现有研究多聚焦于在地融合过程,忽视“异乡-原乡”互动视角。因此,本研究基于2023—2024年间于中国广东省广州市得到的问卷与访谈调查数据,构建一个整合城中村居住、社会资本与社会融合的理论框架。通过有调节的中介分析方法,本研究不仅探讨居住在城中村对流动人口社会融合的直接影响,还进一步揭示社会资本在此过程中的作用机制,通过引入返乡频率作为调节变量,关注跨地域动态联结的调节机制,旨在深化当前流动人口社会融合研究的理论认识,并为中国新型城镇化背景下的流动人口社会融合提供理论指导和政策建议。

1 研究假设

1.1 城中村与社会融合

住房作为流动人口开展日常生活相关的社交互动与公共活动的重要空间,不仅提供了物理居所,更影响着其定居意愿、地方依恋与归属感12-13。因此,住房类型与流动人口的社会融合水平密切相关。已有研究指出,正式住房凭借其更为规范的居住环境与多样化的社区交往活动,能够促进流动人口融入主流社会,提升其定居能力与融合水平14。相比之下,城中村因其恶劣的环境条件和基础设施的缺乏15,难以满足流动人口的日常生活需求。此外,城中村人口流动性强、成分复杂,社区管理难度大且规划混乱16,进一步加剧了社会融合的挑战。流动人口与城中村居民之间可能因工作竞争17、经济差距18、居住空间隔离19,以及生活方式与文化传统的差异20-21,从而形成心理隔阂与消极居住感受。亦有研究22提出,城中村对社会融合的效应具有群体的差异性:低收入群体容易在城中村中形成共同的观念与习惯,促进社会融合;而对于高收入群体,则不利于社会融合。总体而言,城中村的居住环境对流动人口的社会融合产生了的消极影响1323。综合以上分析,本研究提出假设一(见图1):
图1 分析框架

Fig.1 Framework of analysis

H1:与居住在其它住房类型中的流动人口相比,居住在城中村的流动人口更可能具有较低的社会融合水平。

1.2 城中村与社会资本

城中村独特的社区基础与条件造就了深厚的社会资本积淀。研究表明,城中村延续了承载悠久历史文化积淀的组织化场域及其特有的场域逻辑,形成了以正式与非正式规则、信任及社会关系网络为核心的社会资本体系18。这些社会资本由长期的互动与情感联结积累而成24,展现出“乡村黏合性”与“城乡连接性”的双重特征。然而,随着流动人口的大量涌入,城中村原有的社会资本逐渐面临崩解与流失。一方面,本地人与外来流动人口之间的异质性及人员的高流动性导致浅薄的关系网络断裂,信任与关心的缺乏进一步削弱了社区内的社会互动25;另一方面,行政管理上对城中村社会资本的忽视,以及村内由自愿合作与互信所维系的社会功能的弱化,导致了自治机制失灵、管理混乱等问题,进而制约了城中村居民社会资本的创造与转型1726-27。基于以上分析,本研究提出假设二(见图1):
H2a:城中村负向影响流动人口关系网络的建立。
H2b:城中村负向影响流动人口信任的形成。
H2c:城中村负向影响流动人口互惠规范的形成。

1.3 社会资本与社会融合

受社会背景的影响,国外学者更早关注社会资本在跨国移民社会融合中的作用。Ghimire和Kapri28探讨了更加广泛的迁移网络对尼泊尔家庭做出移民决策具有正向影响;Amuedo-Dorantes和Mundra29研究了墨西哥移民中亲属关系与友谊关系构成的社会网络提高移民的经济收入,促进移民的社会生存进而帮助其融入流入地社会;Tulibaleka和Katunze30则研究了社会网络在乌干达青年从乡村向城市过渡中的关键作用,进一步凸显社会资本在迁移与融合中的重要性。国内学者多将社会资本与农民工在流入地的社会融入联系起来,探索其在城市生存与发展的作用。徐至寒等31指出新移民建立于初级群体上的社会资本一定程度内降低了在流入地获取资源的交易成本,消解了其陌生感和排斥感;边燕杰32通过研究“春节拜年网”等关系网络,揭示了社会资本在提升流动人口社会经济地位中的作用;纪韶和朱志胜33指出社会资本有助于农民工向上的职业流动;王培刚和陈心广34认为社会资本通过产生社会空间上从大家主观上愿意长期认同、行为上愿意彼此交往的“互利性”关系,增强身份与价值认同,从而推动流动人口城市社会融合。基于以上分析提出假设三(见图1):
H3a:流动人口关系网络的建立促进流动人口社会融合。
H3b:流动人口信任的形成促进流动人口社会融合。
H3c:流动人口互惠规范的形成促进流动人口社会融合。

1.4 城中村对流动人口社会融合的间接影响

基于城中村与社会融合、社会资本之间的密切关系,结合假设一、二与三,本研究尝试进一步提出假设四(见图1):
H4a:城中村可以通过阻碍流动人口的关系网络形成进而阻碍其社会融合。
H4b:城中村可以通过阻碍流动人口的信任形成进而阻碍其社会融合。
H4c:城中村可以通过阻碍流动人口的互惠规范形成进而阻碍其社会融合。

1.5 返乡频率的调节作用

返乡频率是指流动人口个体由流入地城市返回原住地的行为的频率。当流动人口通过频繁的城乡往返行为,将维系主要社会关系、强化文化认同等行动嵌入原住地场域,并持续获得情感支持35时,其对在流入地社会融合的需求强度与投入意愿将有所降低。同时,流动人口与家乡内部的联系会抑制新的对外关系拓展的动机36,降低与流入地居民互动的深度;乡村社会基于血缘地缘的物质互助与路径帮扶,使得城中村居住环境中基于工具理性的互惠难以成为必要选择。因此推测,流动人口通过强化返乡行为,可能形成对流入地社会资本积累的代替路径,进而导致城中村居住环境对社会资本的重塑作用减弱。基于以上分析,本研究认为流动人口的返乡行为将缓冲城中村居住对社会融合以及社会资本的消极影响,进而提出假设五(见图1):
H5a:返乡频率削弱了城中村居住对社会融合的影响。
H5b:返乡频率削弱了城中村居住对关系网络的影响。
H5c:返乡频率削弱了城中村居住对信任的影响。
H5d:返乡频率削弱了城中村居住对互惠规范的影响。

2 研究区域、变量选取与分析方法

2.1 研究区域与数据收集

本研究选择我国典型的流动人口流入城市广州市作为研究区域(见图2)。根据第七次全国人口普查数据显示,广州市流动人口占全市人口的58.27%37,并且是我国社会融合改革的先行城市。截至2019年,广州市城镇建成区范围内的城中村共有272个38,其人员构成复杂、流动性强,为流动人口的社会融合提供了多样化的背景。
图2 研究区位置

注:本图基于自然资源部标准地图服务网站下载的审图号为GS(2024)0650号的标准地图制作,底图无修改。

Fig.2 Location of the study area

研究数据来源于作者在2023—2024年开展的广州市流动人口社会融合与社会资本调查。调查对象为在广州市居住6个月以上且无广州市户籍的流动人口,采取问卷调查与半结构化访谈调查方法。
由于时间、研究对象客观特点与调研难度的限制,问卷调查采用多阶段概率与非概率抽样结合的方式,即调研地点通过概率抽样获取,而调查对象通过非概率抽样获取。首先,基于地理区位的考量,分别随机抽取广州市中心城区与非中心城区共5个区作为调查区(见图2)。进而通过咨询有关政府机构和调取高德地图API,建立广州市城中村与非城中村社区名录。在每个被选区内依据名录随机抽取城中村与非城中村两类社区各5~8个。其次,将城中村与非城中村社区纳入数据分析,通过对比全面揭示两种不同社区居住类型的流动人口在研究变量上的差异。在被选社区内,随机拦访受访者开展调查;对于门禁严格的非开放社区,则于社区附近的公园绿地或大型商圈等人流集中的开放场所补充发放问卷。最后共回收问卷1 028份。经过严格筛选,去除回答不完整以及作答时间过短等无效问卷,最终获得有效问卷909份,有效率为88.42%。
同时在实地调研期间,采用滚雪球抽样法,通过网络招募、亲友介绍、社区管理人员推荐等方式,对广州市流动人口与社区工作人员进行半结构化访谈,每人访谈时长20~60分钟。访谈转录得到的信息将用在定量分析基础上,补充探讨城中村流动人口社会融合机制。

2.2 变量及其度量

社会融合是本研究的因变量。参考已有研究设计题项2239-42,该变量用于反映流动人口在流入地社会、文化以及心理方面的融合程度。测度指标通过探索性因子分析法得到两个新生成因子1和因子2(见表1),按方差贡献率为权重进行计算,生成综合性社会融合指标,数值越高表明融合程度越高。根据旋转后的因子载荷情况,将两个新生成主因子分别命名为生活参与维度和心理适应维度。生活参与(LP)保留LP01~LP05五个问题以关注流动人口在流入地社会的生活参与情况与长期居留、发展意愿,侧重衡量流动人口日常生活行为融入以及城市权利获取的期望。心理适应(PA)使用PA01~PA04四个问题以衡量流动人口在流入地心理层面的情感融合状况与对具有地方性的城市文化、价值观等的接纳程度,呈现流动人口在多大程度上实现了对流入地的心理融入。所有问题均使用李克特五点量表,分值从“非常不同意(1)”到“非常同意(5)”。该量表Cronbach's α系数为0.877(>0.7),通过信度检验;KMO值为0.880(>0.7),Bartlett球形检验的显著性值为0.000(<0.05),通过效度检验。
表1 社会融合各指标的因子载荷

Tab.1 Factor loadings of social integration indicators

题项 因子1 因子2
LP01:我希望定居在广州 0.862
LP02:如果不存在任何阻碍,愿意加入广州户籍 0.712
LP03:我与广州本地人没有区别 0.688
LP04:我关心并参与广州的公共事务 0.589
LP05:我适应并习惯了广州的生活 0.529
PA01:我很少受到广州本地人的歧视或偏见 0.856
PA02:我感觉自己被广州接纳,是广州的一分子 0.757
PA03:我认同并接纳广州的价值观、风俗习惯等独特地方文化 0.683
PA04:我喜欢广州 0.636
特征值 2.882 2.551
累积贡献方差/% 32.024 60.371
设“是否居住城中村(WUV)”为本研究的自变量。通过直接询问受访者“是否居住在城中村”衡量受访者在广州市的住房类型,回答“否”则赋值为0,反之赋值为1。
社会资本(SC)是本研究的中介变量。该变量聚焦关注流动人口在流入地社会以及社区内发展的社会资本。基于Putnam提出的社会资本经典维度43以及参考社会资本测量相关研究1044-46,本研究制定一系列题项,并通过探索性因子分析的方法得到3个新生成的因子(见表2),根据旋转后的因子载荷情况分别将其命名为关系网络、互惠规范、信任维度,以衡量流动人口在广州市积累的社会资本,并构建其评价指标体系,数值越大表示流动人口所拥有的流入地社会资本占比越高。关系网络(SN)使用SN01~SN03询问流动人口已建立人际关系的个体以及可能为流动人口提供社会资源的社团组织等的数量,以衡量其在流入地社区内外拥有的社会网络情况。个体按照“0人”“少于4人”“5~10人”“11~20人”“多于20人”依次赋值1~5。社团组织则按照“0个”“1~2个”“3~4个”“5~6个”“6个以上”依次赋值1~5。互惠规范(RE)使用RE01~RE02以衡量流动人口与流入地居民之间彼此对行为规范的重视与遵守程度。信任(TU)参考信任距离研究47,设计TU01~TU04衡量流动人口在流入地对个人与正式机构的信任程度。互惠规范与信任维度使用李克特五点量表进行测量,分值从“非常不同意(1)”到“非常同意(5)”。量表整体Cronbach's α系数为0.802(>0.7),通过信度检验;KMO值为0.785(>0.7),Bartlett球形检验的显著性值为0.000(<0.05),通过效度检验。
表2 社会资本各指标的因子载荷

Tab.2 Factor loadings of social capital indicators

题项 因子1 因子2 因子3
SN01:在当前社区内,与您有来往的邻居数量 0.718
SN02:在当前社区外新认识的广州本地朋友的数量 0.803
SN03:您在广州参与的大部分成员非同乡的组织或社团数量 0.693
RE01:与当前社区内的邻居按约定日期(借)还钱容易 0.879
RE02:在广州与社区外的陌生人按约定日期(借)还钱容易 0.836
TU01:您信任现在居住的社区内的邻居与社区里的人 0.569
TU02:您信任现在居住的社区内的正式机构 0.643
TU03:在广州,您信任社区外的正式机构 0.709
TU04:在广州,您信任社区外不认识的居民 0.716
特征值 2.149 1.921 1.816
累积贡献方差/% 23.882 45.225 65.405
返乡频率是本研究的调节变量。结合石川等48的研究,本研究采取“近年来年平均返乡次数(FR)”作为衡量返乡频率的指标,按照“0次”“1~2次”“3~4次”“5~6次”“6次以上”依次赋值1至5。
参考以往相关研究3949-52,本研究选取一系列个人属性作为控制变量,包括性别、年龄、受教育程度、职业、婚姻状况和户籍类型等(见表3),这些变量可能会影响移民的社会融合。除一般人口特征以外,在流入地、当前社区居住时间等流动属性也被记录,确保流动人口具有充足的时间进行社会资本的积累与推进融合发生。
表3 个人属性变量

Tab.3 Personal attribute variables

变量 测量题项
性别 女=1,男=2
年龄 16~24岁=1,25~30岁=2,31~35岁=3,36~40岁=4,41~45岁=5,46~50岁=6,51~55岁=7,56~60岁=8,61~65岁=9,65岁以上=10
健康状况 生活不能自理=1,不健康但生活能自理=2,基本健康=3,健康=4
受教育程度 文盲或半文盲=1,小学=2,初中=3,高中、高职或中专=4,大专=5,本科=6,硕士及以上=7
职业类型 流动人口自我感知的当前就业类型,非正规就业指就业不稳定、劳动所得无法维持体面生活、不受法律有效保障的职业,与之相对则为正规就业。正规就业=0,非正规就业=1
收入情况 流动人口的平均月收入情况:少于1 000元=1,1 001~3 000元=2,3 001~5 000元=3,5 001~7 000元=4,7 001~9 000元=5,9 001元以上=6
户籍类型 非农业户口=0,农业户口=1
婚姻状况 未婚=0,已婚但配偶异地=1,已婚且配偶在广州=2
在广州居住时长 流动人口在广州的居住总时长,0.5年以下=1,0.5~1年=2,1~1.5年=3,1.5~2年=4,2年以上=5,自出生就生活在广州=6
在当前社区居住时长 流动人口在当前居住社区的居住总时长,0.5年以下=1,0.5~1年=2,1~.5年=3,1.5~2年=4,2年以上=5
流动情况 流动人口原居住地与流入地之间的空间关系,跨市流动=1,跨省流动=2

注:本表中‘=’右侧数字表示各变量类别在统计分析中所对应的编码值。数字大小表示类别或等级及程度的递增关系。所有编码方式均服务于后续的计量模型分析需要。

2.3 分析策略

本研究通过SPSS 25.0进行数据分析。主要分析方法如下:(1)使用描述统计功能进行描述性统计,包括样本量、均值、标准差等;(2)利用Cronbach's α系数和探索性因子分析的KMO和Bartlett球形检验量表的信度和效度,提取因子,划定社会融合与社会资本的维度;(3)使用皮尔逊相关Pearson Correlation来判断变量之间的相关性;(4)借助Hayes53开发的Process程序中的Model 4与Model 8检验居住城中村对流动人口社会融合的影响,验证社会资本各维度的平行中介作用与返乡频率的调节效应,使用偏差校对非参数百分位 Bootstrap法对调节与中介效应的显著性水平进行检验,设定5 000次重复抽样,获取参数估计的稳健标准误和 Bootstrap置信区间,若置信区间不包含0,则表示结果有统计显著性;(5)正式分析前采用Harman单因素法检验共同方法偏差,将问卷中所用的量表题目作为外显变量进行因素分析,第一公因子解释力度为25.37%,远低于临界值50%,表明本研究数据不存在严重的共同方法偏差问题54

3 研究结果与讨论

3.1 样本总体情况

表4为调查对象社会人口学特征的统计信息。样本中男女比例大致相当,73.6%的人年龄在16~30岁之间,受教育程度多在本科以下,农业户籍占比略高,多数从事非正规就业,41%的调查对象居住在城中村。在流动属性上,60.1%的流动人口来自广东省内,48.2%的人在广州市已居住两年以上,42.5%的流动人口每年返乡3~4次,表明被调查的流动人口具有长时间的流入地居住经历以推进社会融合的发生,但其亦与家乡保持着密切的联系。
表4 流动人口样本总体情况

Tab.4 Overview of migrant population sample

变量 类型 人数 百分比/%
性别 448 49.3
461 50.7
年龄 16~24岁 436 48.0
25~30岁 233 25.6
31~35岁 83 9.1
36~40岁 17 1.9
41~45岁 40 4.4
46~50岁 46 5.1
51~55岁 49 5.4
56~60岁 0 0.0
61~65岁 0 0.0
65岁以上 5 0.6
就业情况 非正规就业 541 59.5
正规就业 367 40.4
户籍类型 非农业户口 385 42.4
农业户口 524 57.6
受教育程度 文盲或半文盲 0 0
小学 86 9.5
初中 122 13.4
高中、高职或中专 202 22.2
大专 323 35.5
本科 84 9.2
硕士及以上 92 10.1
流动情况 跨市流动 546 60.1
跨省流动 363 39.9
在广州居住时长 0.5年以下 163 17.9
0.5~1年 95 10.5
1~1.5年 84 9.2
1.5~2年 103 11.3
两年以上 438 48.2
自出生就生活在广州 26 2.9
在当前社区居住时长 0.5年以下 237 26.1
0.5~1年 76 8.4
1~1.5年 102 11.2
1.5~2年 115 12.7
2年以上 379 41.7
返乡频率 0次 99 10.9
1~2次 212 23.3
3~4次 386 42.5
5~6次 203 22.3
6次以上 9 1.0
是否居住城中村 536 59.0
373 41.0
表5显示了流动人口社会融合水平各维度及其题项的统计结果,社会融合整体水平中等(3.47)。流动人口生活参与维度得分一般(3.21),较高的生活习惯适应(3.88)和定居意愿(3.41)可能与广州市作为省会城市所具备的配套设施充足、生活环境优越等特点有关;但户籍转换意愿弱(3.27),参与公共事务的意愿一般(3.06),同时仍认为与广州本地人具有较大的差异(2.82),表明其在广州的市民生活与社会参与的程度不容乐观。然而,流动人口的心理适应维度得分相对较高(3.71),对广州的城市情感(3.74)与文化风俗(3.95)都呈现出积极正向的态度,很少受到歧视偏见(3.72),与广州开放包容、求同存异的现代城市精神紧密相关。
表5 流动人口社会融合情况

Tab.5 Social integration status of migrant population

变量 题项描述 均值 标准差
社会融合 3.47 0.67
生活参与 LP01:我希望定居在广州 3.41 1.117
LP02:如果不存在任何阻碍,愿意加入广州户籍 3.27 1.127
LP03:我与广州本地人没有区别 2.82 1.028
LP04:我关心并参与广州的公共事务 3.06 0.917
LP05:我适应并习惯了广州的生活 3.88 0.845
生活参与维度的均值与标准差 3.21 0.75
心理适应 PA01:我很少受到广州本地人的歧视或偏见 3.72 0.863
PA02:我感觉自己被广州接纳,是广州的一分子 3.41 0.939
PA03:我认同并接纳广州的价值观、风俗习惯等独特地方文化 3.95 0.726
PA04:我喜欢广州 3.74 0.906
心理适应维度的均值与标准差 3.71 0.70

注:均值≤2.50属于得分非常低,2.51~3.00属于得分较低,3.01~3.50属于得分一般,3.51~4.00属于得分较高,>4.00属于得分非常高。

表6显示了流动人口在流入地社会资本各维度及其题项的统计结果。流动人口在广州社会资本存量整体偏低(2.82),各维度存量不均衡,信任存量(3.55)高于互惠规范(2.66),而关系网络存量最低(2.27)。流动人口在社区内关系网络存量(2.70)略高于社区外(2.59),但参与非同乡组织或社团的程度(1.52)偏低,跨地域社会交往存在局限性。流动人口对社区内(3.64)、社区外(3.81)正式机构的信任高于对社区内住户、邻居(3.45)与流入地居民(3.33)的信任,显示其对制度性保障更为依赖。互惠规范在社区内(3.03)与流入地社会(2.29)的得分均较低,反映出其在流入地发展的互惠机制仍显不足。
表6 流动人口社会资本情况

Tab.6 Social capital of migrant population

变量 题项描述 均值 标准差
社会资本 2.82 0.62
关系网络 SN01:在当前社区内有来往的邻居数量 2.70 1.18
SN02:在当前社区外广州本地朋友的数量 2.59 1.16
SN03:在广州参与的大部分成员非您的同乡的组织或社团 1.52 0.77
关系网络维度的均值与标准差 2.27 0.83
信任 TU01:信任现在居住的社区内邻居与社区里的人 3.45 0.89
TU02:信任社区内正式机构 3.64 0.77
TU03:信任社区外正式机构 3.81 0.79
TU04:信任社区外不认识的广州居民 3.33 0.86
信任维度的均值与标准差 3.55 0.60
互惠规范 RE01:与当前社区内邻居按约定(借)还钱容易 3.03 1.07
RE02:与广州社区外居民按约定(借)还钱容易 2.29 0.97
互惠规范维度的均值与标准差 2.66 0.92

注:均值≤2.5属于得分非常低,2.51~3.00属于得分较低,3.01~3.50属于得分一般,3.51~4.00属于得分较高,>4.00属于得分非常高。

3.2 研究变量相关性分析

研究变量间的相关系数如表7所示。社会融合与关系网络、信任和互惠规范之间均呈显著正相关(r分别为0.499、0.427、0.520,P<0.001);关系网络与信任(r=0.402,P<0.001)、关系网络与互惠规范(r=0.448,P<0.001)、信任和互惠规范(r=0.433,P<0.001)之间呈现显著正相关;城中村与关系网络(r=-0.246,P<0.001)、信任(r=-0.336,P<0.001)和互惠规范(r=-0.430,P<0.001)均呈现显著负相关,与社会融合呈现显著负相关(r=-0.482,P<0.001)。由此,各主要变量相关性与预期一致,为后续研究提供了依据。
表7 研究变量的Pearson相关、均值与标准差

Tab.7 Pearson correlations, means and standard deviations

社会融合 关系网络 互惠规范 信任 返乡频率 城中村
社会融合 1
关系网络 0.499*** 1
互惠规范 0.520*** 0.448*** 1
信任 0.427*** 0.402*** 0.433*** 1
返乡频率 0.148*** 0.014 0.086*** 0.001 1
城中村 -0.482*** -0.246*** -0.430*** -0.336*** 0.065** 1
M 3.47 2.27 2.66 3.55 2.79 0.41
SD 0.67 0.83 0.92 0.60 0.94 0.49

注: ***表示P<0.001,**表示P<0.01,*表示P<0.05。

3.3 直接效应检验

使用Process程序中的Model 8检验各研究变量之间的关系,结果如表8
表8 假设检验

Tab.8 Hypothesis test

变量 关系网络(SN) 信任(TU) 互惠规范(RE) 社会融合(SI)
β SE β SE β SE β SE
常数 -1.201*** 0.380 -0.422 0.373 0.219 0.361 -0.372* 0.195
城中村WUV -0.134* 0.070 -0.623*** 0.068 -0.568*** 0.066 -0.313*** 0.039
关系网络SN 0.208*** 0.017
信任TU 0.189*** 0.018
互惠RE 0.150*** 0.018
返乡频率FR -0.096** 0.036 0.062 0.035 0.040 0.034 0.031 0.019
WUV×FR 0.278*** 0.072 0.356*** 0.070 0.275*** 0.068 0.110** 0.019
性别 0.096 0.069 -0.310*** 0.067 -0.101 0.065 -0.074** 0.035
年龄 0.121*** 0.033 0.090** 0.032 -0.149*** 0.031 0.006 0.017
就业情况 -0.164** 0.069 -0.217*** 0.067 0.358*** 0.065 -0.092** 0.036
户籍类型 0.027 0.071 -0.202** 0.070 0.272 0.068 0.231*** 0.037
受教育程度 0.259*** 0.032 0.065** 0.032 -0.048 0.031 0.082*** 0.017
收入 0.035 0.023 -0.010 0.022 -0.132*** 0.022 0.069*** 0.012
健康状况 -0.097 0.038 0.128 0.074 0.158* 0.072 0.030 0.039
婚姻状况 0.028 0.058 0.001 0.056 0.028 0.055 0.012 0.029
是否跨省流动 -0.280*** 0.075 0.163** 0.073 -0.184* 0.071 -0.317*** 0.038
广州居住时长 0.068 0.040 0.090** 0.039 0.136*** 0.038 -0.083*** 0.021
社区居住时长 -0.028 0.038 -0.131*** 0.037 -0.054 0.036 0.108*** 0.020
R² 0.184 0.219 0.267 0.580
F 14.343 17.862 23.215 72.503

注: ***表示P<0.001,**表示P<0.01,*表示P<0.05。

3.3.1 居住城中村对社会融合的影响

居住在城中村对流动人口社会融合有显著负向影响(β=-0.313,SE=0.039,P<0.001),假设H1得到验证,这与已有研究结论22相符,即居住在城中村的个体社会融合水平更低,城中村可能通过消极的客观居住环境和与主观城市正规空间隔离感双重路径影响融合感知。“每天回到这里看到四面墙光秃秃的,都不想住下去了。”(F-UV-01,访谈)“住在城中村跟外面的人还是不一样的,人家不会当你是广州人的嘛,这不算家。”(M-UV-02,访谈)(注:F为女性,M为男性,UV表示城中村,数字为访谈顺序。)
从控制变量的结果来看,性别、就业情况、户籍类型、受教育程度、收入水平等会对社会融合产生影响。婚姻状况的影响则未如预期,可能与现代家庭观念的转变有关。省内流动人口比省际流动人口更有可能融入流入地社会,这验证了过往研究所强调的文化因素的重要性,即与原籍地的方言、社会规范和习俗差异更小的流入地更容易融入42。值得注意的是,居住时长在不同空间尺度中显示出不同效应。在当前社区居住时间越长,与社区居民的互动可能越多,对社区产生的高归属感、认同感可能有利于社会融合水平提高55。然而,流动人口在广州市的居住时长对社会融合的影响却是负向的,推测与其长期居留所面临的更高的生活成本、更激烈的空间排斥和更明显的制度壁垒有关。

3.3.2 居住城中村对社会资本的影响

居住在城中村对流动人口的关系网络、信任与互惠规范均有显著负向影响(β=-0.134,SE=0.070,P<0.05;β=-0.623,SE=0.068,P<0.001;β=-0.568,SE=0.066,P<0.001),假设H2a~H2c得到验证。实证结果支持了已有研究中体现的“同质相容论”56,即异质性会降低社会互动,导致居民心理上的不认同,提高引发矛盾和摩擦的可能性。广州市作为流入人口过半的现代都市,其城中村人口流动性过强、异质性高,“我在城中村很少跟邻居有来往,一个月邻居都换一次,大家住不久,平时不会怎么交流。”(F-UV-01,访谈)随着现代个体原子化现象逐渐加剧,人们更倾向于在此种陌生社会形态中寻找与自身特质相似的成员建立联系与交换资源。同时,城中村社区多数忽视社区治理57,居民社会资本培育与维持的环境缺失。因而城中村居住对社会资本的消极作用显著。

3.3.3 社会资本对社会融合的影响

关系网络、信任与互惠规范均对社会融合具有显著正向影响(β=0.208,SE=0.017,P<0.001;β=0.189,SE=0.018,P<0.001;β=0.150,SE=0.018,P<0.001,假设H3a~H3c得到验证。在过往研究中,社会资本被视为流动人口社会融合的重要促进因素58,与本研究结果一致。但有学者提出其各维度的影响效应不同59,本研究则证实了其影响强度存在“关系网络>信任>互惠”的梯度差异。关系网络作为社会资本结构性基础,其作用更为直接和显著。然而,信任与互惠规范的建立和维持需要在长期的互动中逐步形成,其对社会融合的影响效应相对弱,且此种影响的进程较为缓慢。

3.4 中介效应检验

使用Process程序中的Model 4,运用Bootstrap法进一步检验关系网络、信任与互惠规范在流动人口居住城中村与社会融合之间的中介效应。由表9可见,居住城中村通过社会资本3个维度对社会融合产生间接效应。具体来看,其通过3条平行中介链产生:(1)居住城中村→关系网络→社会融合(效应值=-0.032,Boot SE=0.015);(2)居住城中村→信任→社会融合(效应值=-0.116,Boot SE=0.018);(3)居住城中村→互惠规范→社会融合(效应值=-0.085,Boot SE=0.014)。Bootstrap 95%置信区间均不包含0,总效应、直接效应、间接效应均显著。假设H4a~H4c得到验证。
表9 中介效应检验

Tab.9 Mediating effect test

效应 路径 效应值 Boot SE Boot 95% CI

效应

占比/%

LLCT ULCT
总效应 -0.516 0.041 -0.596 -0.435 100.00
直接效应 -0.282 0.038 -0.357 -0.208 54.65
总间接效应 -0.233 0.026 -0.286 -0.183 45.35
关系网络的中介效应 居住城中村→关系网络→社会融合 -0.032 0.015 -0.061 -0.001 6.20
信任的中介效应 居住城中村→信任→社会融合 -0.116 0.018 -0.153 -0.084 22.48
互惠规范的中介效应 居住城中村→互惠规范→社会融合 -0.085 0.014 -0.114 -0.060 16.47
基于检验结果本研究得出以下3点发现:(1)居住城中村对社会融合的负面影响主要通过直接效应(效应值=-0.282,效应占比=54.65%)体现,但剩余的间接效应(效应值=-0.233,效应占比=45.35%)则通过社会资本的中介作用传递。这一发现揭示了非正式聚居区不仅通过空间隔离,更通过社会资本耗损形成双重排斥机制;(2)居住在城中村可以通过抑制关系网络建立、信任积累与互惠规范的形成将对社会融合的消极影响传递给流动人口;(3)在3条中介链中,信任的中介效应占比(19.69%)最高。这一发现验证了已有研究结论,信任作为粘合剂资本增进了地方依恋60,在城中村跨群体融合中具有特殊价值。本研究进一步发现了城中村居民间普遍存在“政府信任”(由TU02与TU03两题计算均值,M=3.725)大于“人际信任” (由TU01与TU04两题计算均值,M=3.39)的现象(见表6),“你说政府那肯定要相信的啦,不信还能信谁,但是现在骗子也多”(F-UV-11,访谈)。这种信任危机可能在社区管理缺失的前提下,通过增加社会交易成本,减弱外来者与本地居民自发的交往,使得人情淡漠,社会距离增加,最终阻碍社会融合进程。
其次为互惠规范(16.47%)与关系网络(6.20%)。城中村内基于地缘建立的临时性互惠难以转化为长久的规范保障,或是受到以亲缘主导下互惠的替代,“有什么事情还是会先找家里人,其他人来往很少”(M-UV-03,访谈),导致社会支持脆弱。相较而言,关系网络的较低中介占比可能源于数字技术对传统社交方式的补充,但线下弱连接的缺失仍会影响社会资本的深度积累,进而对社会融合造成负面影响。

3.5 调节效应分析

表10可知,居住城中村与返乡频率的交互项对社会融合、关系网络、信任与互惠规范均呈现显著的正向影响(β=0.110,SE=0.019,P<0.01;β=0.278,SE=0.072,P<0.001;β=0.356,SE=0.070,P<0.001;β=0.275,SE=0.068,P<0.001),表明返乡频率在其中发挥了一定的调节作用。返乡频率在各路径上的调节效应具有削弱性特征,即随着返乡频率的增加,居住城中村对社会融合及社会资本的影响发生变化。
表10 有调节的中介模型检验

Tab.10 Moderated Mediation Model Test

路径

调节变量

水平

效应值 Boot SE Boot 95% CI
LLCT ULCT
居住城中村→社会融合 低水平 -0.407 0.056 -0.516 -0.297
平均值 -0.308 0.039 -0.384 -0.232
高水平 -0.210 0.048 -0.305 -0.115
居住城中村→关系网络→社会融合 低水平 -0.087 0.021 -0.129 -0.047
平均值 -0.030 0.014 -0.057 -0.002
高水平 0.028 0.020 -0.011 0.067
居住城中村→信任→社会融合 低水平 -0.176 0.024 -0.227 -0.130
平均值 -0.116 0.017 -0.152 -0.084
高水平 -0.056 0.019 -0.097 -0.020
居住城中村→互惠规范→社会融合 低水平 -0.119 0.019 -0.158 -0.084
平均值 -0.084 0.013 -0.111 -0.058
高水平 -0.048 0.015 -0.079 -0.020
为进一步验证这一调节作用,本研究采用Process程序中的Model 8进行有调节的中介效应检验,结果如表10所示。返乡频率的调节作用在低水平(均值+1个标准差)与高水平(均值-1个标准差)下的中介作用存在差异,且Bootstrap 95%置信区间均不包含0,说明存在有调节的中介作用,假设H5a~H5d得到验证。
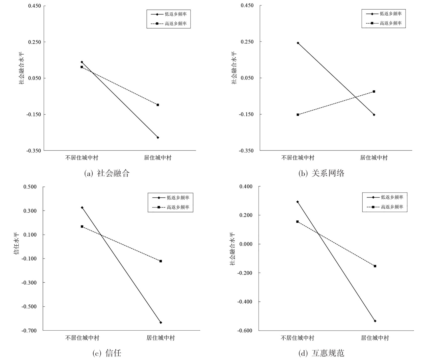
进一步分别绘制简单斜率检验图,以直观呈现返乡频率在居住城中村与社会融合和社会资本各维度之间的调节作用。如图3所示,随着返乡频率的提高,流动人口通过与故乡的现实“互动”与情感连接,能够获得物质提供、社会支持与文化关怀等,这在一定程度上对流动人口在流入地的各项需求起到一定的替代效果,进而削弱居住城中村对社会融合以及社会资本的消极影响。
图3 返乡频率调节效应

Fig.3 Moderating effect of FR

4 结论

流动人口的社会融合是新城镇化进程中的关键议题。然而,现有研究对居住在城中村如何影响社会融合的机制探讨仍显不足,特别是缺乏对其中社会资本中介作用的系统分析。为此,本研究创新性地引入社会资本,构建“城中村居住—社会资本—社会融合”的理论模型,揭示了居住城中村对流动人口社会融合的影响路径及其中介机制。该模型不仅拓展了社会融合过程人—地相互作用的理论视角,也为破解城中村流动人口社会融合困境、推进包容性新型城镇化提供了实践依据。
基于广州市的问卷调查数据,本研究得到以下主要结论:
首先,居住在城中村通过直接效应和以社会资本为中介的间接效应双重路径阻碍流动人口的社会融合。这一发现不仅验证了以往研究关于城中村融合隔离效应的结论61,还进一步揭示了城中村物理封闭与社会资本耗损的协同排斥机制,深化了对非正式聚居区社会融合的理论的理解。
其次,社会资本在城中村居住与社会融合之间的中介作用呈现维度差异。其中,关系网络、信任与互惠规范均在不同程度上揭示了城中村对社会融合的影响,表明社会资本的作用具有结构性差异,为居住在城中村何以阻碍社会融合提供了可信的解释。本研究的实证结果进一步印证蓝宇蕴62关于城中村传统信任结构聚居体的论述,并指出城中村在人际信任的瓦解和结构性关系网络断裂之间,前者对流动人口社会融合更具破坏性。这一发现深化了对城中村内部社会资本异质性的理解,并提示信任机制的重建可能比单纯的网络拓展更为关键。
最后,返乡频率的负向调节作用表明,流动人口通过维系“原乡-异乡”流动的动态性,获得故乡的情感与物质替代性支持,能够部分抵消城中村对社会资本与社会融合的负面影响。这一结果与Fan等学者关于移民跨地域资源调适以在流入地更好生活63的结论相契合,弥补了以往静态分析框架39对跨地方动态联结的忽视。在新型城镇化背景下,流动人口并非仅依赖流入地的社会资源,而是通过“原乡-异乡”的双重网络获得社会支持,实现故乡与流入地之间的双重归属64,这一发现挑战了在地融入即融合的传统假设65
本研究的结论对推进城乡融合和包容性新型城镇化具有重要现实意义。首先,地方政府及社区需重视城中村作为特殊城镇化产物的社会资本培育功能。通过优化城中村场域空间,促进内生与外来社会资本协同增效,构建区域流动人口与本地市民的关系网络、信任机制、互惠规范,进而促进双方共享价值及交换资源,是破解流动人口社会融合困境的关键路径。其次,流动人口需发挥主观能动性,通过维系与“原乡”的联系,形成跨地域的社会支持网络,以缓解城中村居住带来的消极影响。最后,未来的政策设计应更加关注流动人口的跨地域社会网络,探索促进流入地与“原乡”资源联动的机制,以推动更加公平、包容和可持续的城镇化进程。
[1]
王广州, 刘旭阳. 城乡人口迁移流动新趋势——基于人口普查数据分析[J]. 中国特色社会主义研究, 2023(6): 76-87, 2.

WANG G Z, LIU X Y. New trends in urban-rural population migration and mobility: Based on the analysis of population census data[J]. Studies on Socialism with Chinese, 2023(6): 76-87, 2.

[2]
中国共产党中央委员会. 中共中央关于制定国民经济和社会发展第十四个五年规划和二〇三五年远景目标的建议[EB/OL]. (2020-10-29)[2025-01-24].

The Central Committee. Proposals for formulating the 14th Five-Year Plan for national economic and social development and long-range objectives through 2035[EB/OL]. (2020-10-29)[2025-01-24].

[3]
褚清华, 杨云彦. 农民工社会融合再认识及其影响因素分析[J]. 人口与发展, 2014, 20(4): 28-36.

CHU Q H, YANG Y Y. Rethinking the social assimilation of migrant workers and its'influencing factors[J]. Population and Development, 2014, 20(4): 28-36.

[4]
刘志林, 柴彦威. 时空间行为视角下的城市社会融合研究[J]. 人文地理, 2022, 37(6): 30-38, 117.

LIU Z W, CHAI Y W. Urban social cohesion research from a space-time behavior approach[J]. Human Geography, 2022, 37(6): 30-38, 117.

[5]
李昊. 一种另类的都市遗产——从落脚城市到城中村[J]. 北京规划建设, 2018(1): 171-173.

LI H. An alternative form of urban heritage: From squatter city to urban village[J]. Beijing Planning Review, 2018(1): 171-173.

[6]
李培林. 巨变:村落的终结——都市里的村庄研究[J]. 中国社会科学, 2002(1): 168-179, 209.

LI P L. Remendous changes: The end of villages-a study of villages in the center of guangzhou city[J]. Social Sciences in China, 2002(1): 168-179, 209.

[7]
刘嘉慧, 张天尧, 彭一升. 城中村不同改造模式下人居环境健康效应初探——基于广州猎德村与石牌村的对比分析[J]. 南方建筑, 2023(9): 70-78.

LIU J H, ZHANG T Y, PENG Y S. Preliminary exploration of health effects of human settlement under different reconstruction modes of urban villages: A comparative analysis of leide and shipai villages in guangzhou[J]. South Architecture, 2023(9): 70-78.

[8]
高云虹, 刘津铭. 住房类型、长期居留意愿与农民工家庭消费[J]. 财经科学, 2022(8): 135-148.

GAO Y H, LIU J M. Housing types, long-term residence intentions and migrant workers' family consumption[J]. Finance & Economics, 2022(8): 135-148.

[9]
张叶玲, 崔军茹, 崔璨, 等. 社区视角下中国城市居民的社会融合及影响因素——基于上海的实证分析[J]. 人文地理, 2023, 38(2): 106-115.

ZHANG Y L, CUI J R, CUI C, et al. The impact of neighbourhood-level characteristics on social cohesion: An empirical study based on shanghai[J]. Human Geography, 2023, 38(2): 106-115.

[10]
BOURDIEU P. Handbook of theory and research for the sociology of education[M]. New York: Greenwood Press, 1986: 241-258.

[11]
埃莉诺·奥斯特罗姆, 龙虎. 社会资本: 流行的狂热抑或基本的概念?[J]. 经济社会体制比较, 2003(2): 26-34.

OSTROM E, LONG H. Social capital: A popular fad or a basic concept?[J]. Comparative Economic & Social Systems, 2003(2): 26-34.

[12]
杨贵庆, 黄璜. 大城市旧住区更新居民住房安置多元化模式与社会融合的实践评析——以上海市杨浦区为例[J]. 上海城市规划, 2011(1): 64-69.

YANG G Q, HUANG H. Analysis on multiple models and social integration in the process of relocating local residents in urban renewal projects-case study of Yangpu district in Shanghai[J]. Shanghai Urban Planning Review, 2011(1): 64-69.

[13]
李志刚, 薛德升, 魏立华. 欧美城市居住混居的理论、实践与启示[J]. 城市规划, 2007(2): 38-44.

LI Z G, XUE D S, WEI L H. Housing mix in european and american cities: Theories, application and implication[J]. City Planning Review, 2007(2): 38-44.

[14]
HAZELZET A, WISSINK B. Neighborhoods, social networks, and trust in post-reform China: The case of Guangzhou[J]. Urban Geography, 2012, 33(2): 204-220.

[15]
康雷, 张文忠, 谌丽, 等. 北京市低收入社区社会融合的多维度测度与影响因素分析[J]. 人文地理, 2019, 34(3): 22-29.

KANG L, ZHANG W Z, CHEN L, et al. Multidimensional measurement and analysis of social integration of low-income communities in Beijing[J]. Human Geography, 2019, 34(3): 22-29.

[16]
刘婷婷, 李含伟, 高凯. 家庭随迁流动人口住房选择及其影响因素分析——以上海市为例[J]. 南方人口, 2014, 29(3): 17-27.

LIU T T, LI H W, GAO K. A study of housing selection of the floating population with family migration and its influencing factors: A case of Shanghai[J]. South China Population, 2014, 29(3): 17-27.

[17]
WANG Z, ZHANG F, WU F. Social trust between rural migrants and urban locals in China-exploring the effects of residential diversity and neighbourhood deprivation[J]. Population, Space and Place, 2017, 23(1): e2008.

[18]
闫小培,魏立华,周锐波. 快速城市化地区城乡关系协调研究——以广州市“城中村”改造为例[J]. 城市规划, 2004(3): 30-38.

YAN X P, WEI L H, ZHOU R B. Research on the coordination between urban and rural area in the rapid urbanization with the redevelopment of Guangzhou village-amid-the-city as a case[J]. Planning Study, 2004(3): 30-38.

[19]
何炤华, 杨菊华. 安居还是寄居?不同户籍身份流动人口居住状况研究[J]. 人口研究, 2013, 37(6): 17-34.

HE Z H, YANG J H. Settling down or lodging in cities? A comparative study of living conditions among internal migrants in China[J]. Population Research, 2013, 37(6): 17-34.

[20]
魏立华, 阎小培. 中国经济发达地区城市非正式移民聚居区——“城中村”的形成与演进——以珠江三角洲诸城市为例[J]. 管理世界, 2005(8): 48-57.

WEI L H, YAN X P. Informal immigrant enclaves in economically developed regions of China: The formation and evolution of "urban villages": A case study of cities in the pearl river delta[J]. Journal of Management World, 2005(8): 48-57.

[21]
刘伟文. “城中村”的城市化特征及其问题分析——以广州为例[J]. 南方人口, 2003(3): 29-33.

LIU W W. The characteristics and problems of the "Villages in the Urban": A case study of Guangzhou[J]. South China Population, 2003(3): 29-33.

[22]
汪明峰, 程红, 宁越敏. 上海城中村外来人口的社会融合及其影响因素[J]. 地理学报, 2015, 70(8): 1243-1255.

WANG M F, CHENG H, NING Y M. Social integration of migrants in Shanghai's urban villages[J]. Acta Geographica Sinica, 2015, 70(8): 1243-1255.

[23]
杨高, 金万富, 王宇渠, 等. 珠三角农民工的社区选择与社会融合[J]. 地域研究与开发, 2023, 42(3): 80-84, 91.

YANG G, JIN W F, WANG Y Q, et al. Community choice and social integration of migrant workers in Pearl River Delta[J]. Areal Research and Development, 2023, 42(3): 80-84, 91.

[24]
成得礼. 对中国城中村发展问题的再思考——基于失地农民可持续生计的角度[J]. 城市发展研究, 2008(3): 68-79.

CHENG D L. Research on the scientific development of urban village in China: In perspective of land-losing farmers' sustainable livelihoods[J]. Urban Development Studies, 2008(3): 68-79.

[25]
尚斌. 社会资本概念视角的“城中村”改造策略[J]. 规划师, 2009, 25(7): 91-94, 99.

SHANG B. Enhancing urban village renovation with social capital[J]. Planners, 2009, 25(7): 91-94, 99.

[26]
王晶. 居住区位及隔离程度对城镇居民社会融合的影响——以厦门市海沧区为例[J]. 中国社会科学院研究生院学报, 2017(4): 82-90.

WANG J. The influence of residential location and segregation on social integration of urban citizens: Haicang district of Xiamen city as an example[J]. Journal of University of Chinese Academy of Social Sciences, 2017(4): 82-90.

[27]
MOURATIDIS K. Built environment and social well-being: How does urban form affect social life and personal relationships?[J]. Cities, 2018, 74: 7-20.

[28]
GHIMIRE S, KAPRI K. Household income, migration networks, and migration decisions[J]. The European Journal of Development Research, 2023, 35(6): 1484-1507.

[29]
AMUEDO-DORANTES C, MUNDRA K. Social networks and their impact on the earnings of Mexican Migrants[J]. Demography, 2007, 44(4): 849-863.

[30]
TULIBALEKA P O, KATUNZE M. Rural-urban youth migration: The role of social networks and social media in youth migrants' transition into urban areas as self-employed workers in Uganda[J]. Urban Forum, 2024, 35(3):329-348.

[31]
徐至寒, 金太军, 徐枫. 城市新移民社会融合路径的障碍及其消解——基于资本要素禀赋的视角[J]. 经济社会体制比较, 2016(1): 57-66.

XU Z H, JIN T J, XU F. New urban immigrants: Obstacles and solutions of the path to social integration[J]. Comparative Economic and Social Systems, 2016(1): 57-66.

[32]
边燕杰. 城市居民社会资本的来源及作用: 网络观点与调查发现[J]. 中国社会科学, 2004(3): 136-146, 208.

BIAN Y J. Source and functions of urbanites' social capital: A network approach[J]. Social Sciences in China, 2004(3): 136-146, 208.

[33]
纪韶, 朱志胜. 外出农民工职业流动轨迹与向上发展促进机制研究——基于北京市的调研数据[J]. 北京社会科学, 2015(1): 4-10.

JI S, ZHU Z S. The occupation flow track and the upward mobility of migrant workers: Based on the survey data of Beijing[J]. Social Sciences in Beijing, 2015(1): 4-10.

[34]
王培刚, 陈心广. 社会资本、社会融合与健康获得——以城市流动人口为例[J]. 华中科技大学学报(社会科学版), 2015, 29(3): 81-88.

WANG P G, CHEN X G. Social capital, social cohesion and health attainment: Taking example for rural-to-urban migrants[J]. Journal of Huazhong University of Science and Technology (Social Science Edition), 2015, 29(3): 81-88.

[35]
CHEN C, FAN C C. Gender and generational differences in first outward-and first inward-moves: An event-history analysis of rural migrants in China[J]. Environment and Planning A: Economy and Space, 2018, 50(8): 1646-1669.

[36]
PARREÑAS R. Long distance intimacy: class, gender and intergenerational relations between mothers and children in Filipino transnational families[J]. Global Networks, 2005, 5(4): 317-336.

[37]
广州市统计局. 2023年广州市人口规模及分布情况[EB/OL]. (2024-04-01)[2025-01-24].

Guangzhou Municipal Bureau of Statistics. 2023 Population scale and distribution in Guangzhou[EB/OL]. (2024-04-01)[2025-01-24].

[38]
广州市规划和自然资源局. 广州市规划和自然资源局关于市十五届人大四次会议第20192415号代表建议答复的函[EB/OL]. (2019-05-24)[2025-01-24].

Guangzhou Bureau of Planning and Natural Resources. Reply from Guangzhou Bureau of Planning and Natural Resources to the 20192415 proposal of the fourth session of the 15th Municipal People's Congress[EB/OL]. (2019-05-24)[2025-01-24].

[39]
贺三维, 祁子良. 主客观建成环境、社会支持与流动人口心理融入——以武汉东湖高新区为例[J]. 人口与发展, 2024, 30(2): 15-25.

HE S W, QI Z L. Subjective and objective built environment, social support, and psychological integration of migrants: A case study of Wuhan Donghu high-tech zone[J]. Population and Development, 2024, 30(2): 15-25.

[40]
穆光宗, 江砥. 流动人口的社会融合: 含义、测量和路径[J]. 江淮论坛, 2017(4): 129-133.

MU G Z, JIANG D. Social integration of floating population: Meaning, measurement and pathways[J]. Jiang-huai Tribune, 2017(4): 129-133.

[41]
LIN S, WU F, WANG Y, et al. Migrants' perceived social integration in different housing tenures in urban China[J]. Geoforum, 2023, 139: 103693.

[42]
VERGUNST P. Social integration: Re-socialisation and symbolic boundaries in Dutch rural neighbourhoods[J]. Journal of Ethnic and Migration Studies, 2008, 34(6): 917-934.

[43]
罗伯特·帕特南. 使民主运转起来: 现代意大利的公民传统[M]. 南昌: 江西人民出版社, 2021: 195.

PUTNAM R D. Making democracy work: Civic traditions in modern Italy[M]. Nanchang: Jiangxi People's Publishing House, 2021: 195.

[44]
方亚琴, 夏建中. 城市社区社会资本测量[J]. 城市问题, 2014(4): 60-66.

FANG Y Q, XIA J Z. Measurement of social capital in urban communities[J]. Urban Problems, 2014(4): 60-66.

[45]
HARPHAM T. Measuring social capital within health surveys: Key issues[J]. Health Policy and Planning, 2002, 17(1): 106-111.

[46]
SU Y, XU H, ZHANG X. How can public spaces contribute to increased incomes for urban residents: A social capital perspective[J]. Land, 2024, 13(7): 945.

[47]
刘红升, 靳小怡. 流动儿童的资本禀赋与社会融合研究——基于双向测度数据的多视角分析[J]. 北京社会科学, 2018(5): 117-128.

LIU H S, JIN X Y. Study on capital endowment and social integration of rural migrant children: A multi-perspective analysis based on bidirectional measurement data[J]. Social Sciences in Beijing, 2018(5): 117-128.

[48]
石川, 杨锦秀, 杨启智, 等. 外出农民工回乡意愿影响因素分析——以四川省为例[J]. 农业技术经济, 2008(3): 71-76.

SHI K, YANG J X, YANG Q Z, et al. Analysis of factors influencing the willingness of rural migrant workers to return home: A case study of Sichuan province[J]. Journal of Agrotechnical Economics, 2008(3): 71-76.

[49]
WANG W W, FAN C C. Migrant workers' integration in urban China: Experiences in employment, social adaptation, and self-identity[J]. Eurasian Geography and Economics, 2012, 53(6): 731-749.

[50]
MIAO J, WU X, SUN X. Neighborhood, social cohesion, and the Elderly's depression in Shanghai[J]. Social Science & Medicine, 2019, 229: 134-143.

[51]
邢祖哥, 黄耿志, 薛德升. 中国城市流动人口社会融合的空间格局与影响机制[J]. 地理学报, 2022, 77(10): 2474-2493.

XING Z G, HUANG G Z, XUE D S. Spatial pattern and influencing mechanism of social integration of migrants in Chinese cities[J]. Acta Geographica Sinica, 2022, 77(10): 2474-2493.

[52]
周晓莹, 杜海涛, 翁晴, 等. 社会资本对老年人健康的影响——基于2017年中国社会综合调查的分析[J]. 华南地理学报, 2023, 1(3): 46-64.

ZHOU X Y, DU H T, WENG Q, et al. Research on the influence of social capital on the health of older people: An analysis based on the 2017 Chinese general social survey[J]. South China Geographical Journal, 2023, 1(3): 46-64.

[53]
HAYES A. Introduction to mediation,moderation,and conditional process analysisy[J]. Journal of Educational Measurement, 2013, 51(3): 335-337.

[54]
LEONG L Y, HEW T S, OOI K B, et al. A hybrid SEM-neural network analysis of social media addiction[J]. Expert Systems with Applications, 2019, 133: 296-316.

[55]
张琳, 周素红, 郑重, 等. 日常活动环境暴露对流动与户籍人口心理健康的影响差异[J]. 地理科学进展, 2024, 43(8): 1570-1584.

ZHANG L, ZHOU S H, ZHENG C, et al. Impacts of environmental exposures on the mental health of floating and registered populations from the perspective of daily activities[J]. Progress in Geography, 2024, 43(8): 1570-1584.

[56]
ALESINA A, FERRARA E L. The Determinants of Trust: w7621[R]. Cambridge, MA: National Bureau of Economic Research, 2000: w7621.

[57]
李东泉, 方浩. 社会资本视角下社区治理促进社会融合的实证研究——以成都市肖家河街道为例[J]. 重庆社会科学, 2019(7): 65-74.

LI D Q, FANG H. An empirical study of community governance promoting ssocial integration from the perspective of ssocial capital: Take Xiaojiahe Street in high-tech zone of Chengdu as an example[J]. Chongqing Social Sciences, 2019(7): 65-74.

[58]
王桂新, 武俊奎. 城市农民工与本地居民社会距离影响因素分析——以上海为例[J]. 社会学研究, 2011, 25(2): 28-47, 243.

WANG G X, WU J K. Influence factors analysis of social distance between migrants and residents in Shanghai[J]. Sociological Studies, 2011, 25(2): 28-47, 243.

[59]
任远, 陶力. 本地化的社会资本与促进流动人口的社会融合[J]. 人口研究, 2012, 36(5): 47-57.

REN Y, TAO L. Localized social capital and social integration of migrants in urban China[J]. Population Research, 2012, 36(5): 47-57.

[60]
吴蓉, 黄旭, 刘晔, 等. 广州城市居民地方依恋测度与机理[J]. 地理学报, 2019, 74(2): 379-393.

WU R, HUANG X, LIU Y, et al. Place attachment of urbanites in Guangzhou: Measurement and mechanism[J]. Acta Geographica Sinica, 2019, 74(2): 379-393.

[61]
李志刚, 薛德升, 杜枫, 等. 全球化下“跨国移民社会空间”的地方响应——以广州小北黑人区为例[J]. 地理研究, 2009, 28(4): 920-932.

LI Z G, XUE D S, DU F, et al. The local response of transnational social space under globalization in urban China: A case study of African enclave in Guangzhou[J]. Geographical Research, 2009, 28(4): 920-932.

[62]
蓝宇蕴. 城中村: 村落终结的最后一环[J]. 中国社会科学院研究生院学报, 2001(6): 100-105, 112.

LAN Y Y. Villages: The last link to end the existence of villages[J]. Journal of University of Chinese Academy of Social Sciences, 2001(6): 100-105, 112.

[63]
FAN C C, SUN M, ZHENG S. Migration and split households: A comparison of sole, couple, and family migrants in Beijing, China[J]. Environment and Planning A: Economy and Space, 2011, 43(9): 2164-2185.

[64]
张祥晶. 地方实践的“双重选择”对居住证制度目标的偏离和应对——以深圳、武汉、杭州和成都为例[J]. 贵州社会科学, 2021(6): 66-74.

ZHANG X J. The "double choice" of local practice deviates from the goals of the residence permit system and responses: Take Shenzhen, Wuhan, Hangzhou and Chengdu as examples[J]. Guizhou Social Sciences, 2021(6): 66-74.

[65]
杨菊华. 从隔离、选择融入到融合: 流动人口社会融入问题的理论思考[J]. 人口研究, 2009, 33(1): 17-29.

YANG J H. From isolation, selective integration to fusion: Theoretical reflections on the social integration of floating population[J]. Population Research, 2009, 33(1): 17-29.

Outlines

/